UP Board Solutions for Class 11 Physics Chapter 3 Motion in a Straight Line (เคธเคฐเคฒ เคฐेเคा เคฎें เคเคคि)
เค เคญ्เคฏाเคธ เคे เค เคจ्เคคเคฐ्เคเคค เคฆिเค เคเค เคช्เคฐเคถ्เคจोเคค्เคคเคฐ
เคช्เคฐเคถ्เคจ 1:
เคจीเคे เคฆिเค เคเค เคเคคि เคे เคौเคจ-เคธे เคเคฆाเคนเคฐเคฃों เคฎें เคตเคธ्เคคु เคो เคฒเคเคญเค เคฌिเคจ्เคฆु เคตเคธ्เคคु เคฎाเคจा เคा เคธเคเคคा เคนै
(a) เคฆो เคธ्เคेเคถเคจों เคे เคฌीเค เคฌिเคจा เคिเคธी เคเคเคे เคे เคเคฒ เคฐเคนी เคोเค เคฐेเคฒเคाเคก़ी।
(b) เคिเคธी เคตृเคค्เคคीเคฏ เคชเคฅ เคชเคฐ เคธाเคเคिเคฒ เคเคฒा เคฐเคนे เคिเคธी เคต्เคฏเค्เคคि เคे เคเคชเคฐ เคฌैเค ा เคोเค เคฌเคจ्เคฆเคฐ।
(c) เคเคฎीเคจ เคธे เคเคเคฐाเคเคฐ เคคेเคी เคธे เคฎुเคก़เคจे เคตाเคฒी เค्เคฐिเคेเค เคी เคोเค เคซिเคฐเคเคคी เคेंเคฆ।
(d) เคिเคธी เคฎेเค เคे เคिเคจाเคฐे เคธे เคซिเคธเคฒเคเคฐ เคिเคฐा เคोเค เคฌीเคเคฐ।
เคเคค्เคคเคฐ:
(a) เคฐेเคฒเคाเคก़ी เคฆो เคธ्เคेเคถเคจों เคे เคฌीเค เคฌिเคจा เคเคเคे เคे เคเคฒ เคฐเคนी เคนै; เค
เคค: เคฆोเคจों เคธ्เคेเคถเคจों เคे เคฌीเค เคी เคฆूเคฐी เคो เคฐेเคฒเคाเคก़ी เคी เคฒเคฎ्เคฌाเค เคी เคคुเคฒเคจा เคฎें เค
เคงिเค เคฎाเคจा เคा เคธเคเคคा เคนै। เคเคธเคฒिเค เคฐेเคฒเคाเคก़ी เคो เคฌिเคจ्เคฆु เคตเคธ्เคคु เคฎाเคจा เคाเคเคा।
(b) เคूंเคि เคฌเคจ्เคฆเคฐ เคฆ्เคตाเคฐा เคฏเคฅोเคिเคค เคธเคฎเคฏ เคฎें เคคเคฏ เคी เคเค เคฆूเคฐी เค
เคงिเค เคนै; (UPBoardSolutions.com) เค
เคค: เคฌเคจ्เคฆเคฐ เคो เคฌिเคจ्เคฆु เคตเคธ्เคคु เคฎाเคจा เคाเคเคा।
(c) เคूंเคि เคेंเคฆ เคा เคฎुเคก़เคจा เคธเคฐเคฒ เคจเคนीं เคนै; เค
เคคः เคฏเคฅोเคिเคค เคธเคฎเคฏ เคฎें เคेंเคฆ เคฆ्เคตाเคฐा เคคเคฏ เคी เคเค เคฆूเคฐी เค
เคงिเค เคจเคนीं เคนै। เคเคธเคฒिเค เคेंเคฆ เคो เคฌिเคจ्เคฆु เคตเคธ्เคคु เคจเคนीं เคฎाเคจा เคा เคธเคเคค
(d) เคूंเคि เคฌीเคเคฐ เคฎेเค เคे เคिเคจाเคฐे เคธे เคซिเคธเคฒเคเคฐ เคिเคฐเคคा เคนै; เค
เคคः เคฏเคฅोเคिเคค เคธเคฎเคฏ เคฎें เคเคธเคे เคฆ्เคตाเคฐा เคคเคฏ เคी เคเค เคฆूเคฐी เค
เคงिเค เคจเคนीं เคนै। เคเคธเคฒिเค เคเคธे เคฌिเคจ्เคฆु เคตเคธ्เคคु เคจเคนीं เคฎाเคจा เคा เคธเคเคคा।
เคช्เคฐเคถ्เคจ 2:
เคฆो เคฌเค्เคे A เคต B เค
เคชเคจे เคตिเคฆ्เคฏाเคฒเคฏ เคธे เคฒौเคเคเคฐ เค
เคชเคจे-เค
เคชเคจे เคเคฐ เคฎे เค्เคฐเคฎเคถः P เคคเคฅा เฅจ เคो เคा เคฐเคนे เคนैं। เคเคจเคे เคธ्เคฅिเคคि-เคธเคฎเคฏ (x-t) + เค्เคฐाเคซ เคिเคค्เคฐ-3.1 (a) เคฎें เคฆिเคाเค เคเค เคนैं। เคจीเคे เคฒिเคे เคोเคท्เค เคों เคฎें เคธเคนी เคช्เคฐเคตिเคท्เคिเคฏों เคो เคुเคจिเค
(a) B/A เคी เคคुเคฒเคจा เคฎें A/B เคตिเคฆ्เคฏाเคฒเคฏ เคธे เคจिเคเค เคฐเคนเคคा เคนै।
(b) B/A เคी เคคुเคฒเคจा เคฎें A/B เคตिเคฆ्เคฏाเคฒเคฏ เคธे เคชเคนเคฒे เคเคฒเคคा เคนै।
(c) B/A เคी เคคुเคฒเคจा เคฎें A/B เคคेเค เคเคฒเคคा เคนै।
(d) A เคเคฐ B เคเคฐ (เคเค เคนी/เคญिเคจ्เคจ) เคธเคฎเคฏ เคชเคฐ เคชเคนुँเคเคคे เคนैं।
(e) A/B เคธเคก़เค เคชเคฐ B/A เคธे (เคเค เคฌाเคฐ/เคฆो เคฌाเคฐ) เคเคे เคนो เคाเคคे เคนैं।
เคเคค्เคคเคฐ:
(a) B เคी เคคुเคฒเคจा เคฎें A เคตिเคฆ्เคฏाเคฒเคฏ เคธे เคจिเคเค เคฐเคนเคคा เคนै, เค्เคฏोंเคि B เค
เคงिเค เคฆूเคฐी เคคเคฏ เคเคฐเคคा เคนै [OP< OQ]
(b) B เคी เคคुเคฒเคจा เคฎें A เคตिเคฆ्เคฏाเคฒเคฏ เคธे เคชเคนเคฒे เคเคฒเคคा เคนै, เค्เคฏोंเคि A เคे เคฒिเค เคเคคि (UPBoardSolutions.com) เคช्เคฐाเคฐเคฎ्เคญ เคा เคธเคฎเคฏ t = 0 เคนै เคชเคฐเคจ्เคคु B เคे เคเคคि เคช्เคฐाเคฐเคฎ्เคญ เคे เคฒिเค เคธเคฎเคฏ เคนैं เคा เคจिเคถ्เคिเคค เคงเคจाเคค्เคฎเค เคฎाเคจ เคนै।
(c) A เคी เคคुเคฒเคจा เคฎें B เคคेเค เคเคฒเคคा เคนै, เค्เคฏोเคि B เคे เค्เคฐाเคซ เคा เคขाเคฒ A เคे เค्เคฐाเคซ เคे เคขाเคฒ เคธे เค
เคงिเค เคนै।
(d) A เคเคฐ B เคเคฐ เคญिเคจ्เคจ เคธเคฎเคฏ เคชเคฐ เคชเคนुँเคเคคे เคนैं।
(e) B เคธเคก़เค เคเคฐ A เคธे เคเค เคฌाเคฐ เคเคे เคนो เคाเคคा เคนै (เคช्เคฐเคคिเค्เคेเคฆ เคฌिเคจ्เคฆु X เคे เคฌाเคฆ)।
เคช्เคฐเคถ्เคจ 3:
เคเค เคฎเคนिเคฒा เค
เคชเคจे เคเคฐ เคธे เคช्เคฐाเคคः 9.00 เคฌเคे 2.5 km เคฆूเคฐ เค
เคชเคจे เคाเคฐ्เคฏाเคฒเคฏ เคे เคฒिเค เคธीเคงी เคธเคก़เค เคชเคฐ 5 kmh-1 เคाเคฒ เคธे เคเคฒเคคी เคนै। เคตเคนाँ เคตเคน เคธाเคฏं 5.00 เคฌเคे เคคเค เคฐเคนเคคी เคนै เคเคฐ 25 kmh-1 เคी เคाเคฒ เคธे เคเคฒ เคฐเคนी เคिเคธी เคเคो เคฐिเค्เคถा เคฆ्เคตाเคฐा เค
เคชเคจे เคเคฐ เคฒौเค เคเคคी เคนै। เคเคชเคฏुเค्เคค เคชैเคฎाเคจा เคुเคจिเค เคคเคฅा เคเคธเคी เคเคคि เคा x-t เค्เคฐाเคซ เคींเคिเค।
เคนเคฒ:
เคฎเคนिเคฒा เคฆ्เคตाเคฐा เคเคฐ เคธे เคाเคฐ्เคฏाเคฒเคฏ เคคเค เคชเคนुँเคเคจे เคฎें เคฒिเคฏा เคเคฏा เคธเคฎเคฏ,
เคช्เคฐเคถ्เคจ 4:
เคोเค เคถเคฐाเคฌी เคिเคธी เคคंเค เคเคฒी เคฎें 5 เคเคฆเคฎ เคเคे เคฌเคข़เคคा เคนै เคเคฐ 3 เคเคฆเคฎ เคชीเคे เคเคคा เคนै, เคเคธเคे เคฌाเคฆ เคซिเคฐ 5 เคเคฆเคฎ เคเคे เคฌเคข़เคคा เคนै เคเคฐ 3 เคเคฆเคฎ เคชीเคे เคเคคा เคนै, เคเคฐ เคเคธी เคคเคฐเคน เคตเคน เคเคฒเคคा เคฐเคนเคคा เคนै। เคเคธเคा เคนเคฐ เคเคฆเคฎ 1m เคฒเคฎ्เคฌा เคนै เคเคฐ 1s เคธเคฎเคฏ เคฒเคเคคा เคนै। เคเคธเคी เคเคคि เคा x-t เค्เคฐाเคซ เคींเคिเค। เค्เคฐाเคซ เคธे เคคเคฅा เคिเคธी เค
เคจ्เคฏ เคตिเคงि เคธे เคฏเคน เค्เคाเคค เคीเคिเค เคि เคตเคน เคเคนाँ เคธे เคเคฒเคจा เคช्เคฐाเคฐเคฎ्เคญ เคเคฐเคคा เคนै เคตเคนाँ เคธे 13 m เคฆूเคฐ เคिเคธी เคเคก्เคขे เคฎें เคिเคคเคจे เคธเคฎเคฏ เคชเคถ्เคाเคค เคिเคฐเคคा เคนै?
เคนเคฒ:
เค्เคฐाเคซ (เคिเคค्เคฐे 3.3) เคธे เคธ्เคชเคท्เค เคนै เคि เคถเคฐाเคฌी เคเคคि เคเคฐเคฎ्เคญ เคเคฐเคจे เคे เคธ्เคฅाเคจ เคธे 13 เคिเคฎी เคฆूเคฐ เคเคก्เคขे เคฎें 37 เคธेเคเคฃ्เคก เคฌाเคฆ (UPBoardSolutions.com) เคिเคฐेเคा। (∵13 เคฎी เคे เคธंเคเคค เค्เคฐाเคซ เคธे เคธเคฎเคฏ-เค
เค्เคท เคชเคฐ เคธเคฎเคฏ 37 เคธेเคเคฃ्เคก เคนै।)
เคเคฃเคจा:
เคช्เคฐเคฅเคฎ 8 เคเคฆเคฎ เค
เคฐ्เคฅाเคค् 8 เคธेเคเคฃ्เคก เคฎें เคถเคฐाเคฌी เคा เคเคค्เคฏाเคฐเคฎ्เคญ เคे เคธ्เคฅाเคจ เคธे เคตिเคธ्เคฅाเคชเคจ เค
เคฐ्เคฅाเคค् เคเคธเคे เคฆ्เคตाเคฐा เคคเคฏ เคจेเค เคฆूเคฐी = (5 – 3) เคฎी = 2 เคฎी
เคเคธ เคช्เคฐเคाเคฐ เค
เคเคฒे 8 เคเคฆเคฎ เคคเค (16 เคเคฆเคฎों เคฎें) เค
เคฐ्เคฅाเคค्
16 เคธेเคเคฃ्เคก เคฎें เคจेเค เคฆूเคฐी = (2+ 2) เคฎी = 4 เคฎी
24 เคเคฆเคฎों เคฎें เค
เคฐ्เคฅाเคค् 24 เคธेเคเคฃ्เคก เคฎें เคจेเค เคฆूเคฐी = (2+2+ 2) เคฎी = 6 เคฎी 32 เคเคฆเคฎों เคฎें เค
เคฐ्เคฅाเคค् 32 เคธेเคเคฃ्เคก เคฎें เคจेเค เคฆूเคฐी ।
= (2+2+ 2 + 2) เคฎी = 8 เคฎी
37 เคเคฆเคฎों เคฎें เค
เคฐ्เคฅाเคค् 37 เคธेเคเคฃ्เคก เคฎें เคจेเค เคฆूเคฐी = 8 เคฎी + 5 เคฎी = 13 เคฎी
เค
เคคः เคเคค्เคฏाเคฐเคฎ्เคญ เคे เคธ्เคฅाเคจ เคธे 13 เคฎी เคฆूเคฐ เคธ्เคฅिเคค เคเคก्เคขे เคฎें เคिเคฐเคจे เคฎें เคถเคฐाเคฌी เคฆ्เคตाเคฐा เคฒिเคฏा เคเคฏा เคธเคฎเคฏ = 37 เคเคฆเคฎों เคा เคธเคฎเคฏ = 37 เคธेเคเคฃ्เคก
เคช्เคฐเคถ्เคจ 5:
เคोเค เคेเค เคตाเคฏुเคฏाเคจ 500 kmh-1 เคी เคाเคฒ เคธे เคเคฒ เคฐเคนा เคนै เคเคฐ เคฏเคน เคेเค เคตाเคฏुเคฏाเคจ เคे เคธाเคชेเค्เคท 1500 kmh-1 เคी เคाเคฒ เคธे เค
เคชเคจे เคฆเคนเคจ เคเคค्เคชाเคฆों เคो เคฌाเคนเคฐ เคจिเคाเคฒเคคा เคนै। เคเคฎीเคจ เคชเคฐ เคเคก़े เคिเคธी เคช्เคฐेเค्เคทเค เคे เคธाเคชेเค्เคท เคเคจ เคฆเคนเคจ เคเคค्เคชाเคฆों เคी เคाเคฒ เค्เคฏा เคนोเคी?
เคนเคฒ:
เคेเค เคा เคตेเค = ฮฝJ = – 500 km h-1 (เคช्เคฐेเค्เคทเค เคธे เคฆूเคฐ)
เคेเค เคे เคธाเคชेเค्เคท เคฆเคนเคจ เคเคค्เคชाเคฆ เคฌाเคนเคฐ เคจिเคाเคฒเคจे เคा เคเคชेเค्เคทिเค เคตेเค = ฮฝeJ = 1500 km h-1
เคฏเคฆि เคฌाเคนเคฐ เคจिเคเคฒเคจे เคตाเคฒे เคเคค्เคชाเคฆों เคा เคตेเค ฮฝe เคนो เคคो ฮฝeJ = ฮฝe – ฮฝJ
เคฏा
ฮฝe = ฮฝeJ +ฮฝJ = 1500+ (- 500) = 1000 km/h
เคช्เคฐเคถ्เคจ 6:
เคธीเคงे เคฐाเคเคฎाเคฐ्เค เคชเคฐ เคोเค เคाเคฐ126 kmh-1 เคी เคाเคฒ เคธे เคเคฒ เคฐเคนी เคนै। เคเคธे 200 m เคी เคฆूเคฐी เคชเคฐ เคฐोเค เคฆिเคฏा เคाเคคा เคนै। เคाเคฐ เคे เคฎเคจ्เคฆเคจ เคो เคเคเคธเคฎाเคจ เคฎाเคจिเค เคเคฐ เคเคธเคा เคฎाเคจ เคจिเคाเคฒिเค। เคाเคฐ เคो เคฐुเคเคจे เคฎें เคिเคคเคจा เคธเคฎเคฏ เคฒเคा?
เคนเคฒ:
เคाเคฐ เคी เคช्เคฐाเคฐเคฎ्เคญिเค เคाเคฒ, u = 126 เคिเคฎी/เคเคฃ्เคा
เคช्เคฐเคถ्เคจ 7:
เคฆो เคฐेเคฒเคाเคก़िเคฏाँ A เคต B เคฆो เคธเคฎाเคจ्เคคเคฐ เคชเคเคฐिเคฏों เคชเคฐ 72 kmh-1 เคी เคเคเคธเคฎाเคจ เคाเคฒ เคธे เคเค เคนी เคฆिเคถा เคฎें เคเคฒ เคฐเคนी เคนैं। เคช्เคฐเคค्เคฏेเค เคाเคก़ी 400 m เคฒเคฎ्เคฌी เคนै เคเคฐ เคाเคก़ी A เคाเคก़ी B เคธे เคเคे เคนै। B เคा เคाเคฒเค A เคธे เคเคे เคจिเคเคฒเคจा เคाเคนเคคा เคนै เคคเคฅा 1 ms-2 เคธे เคเคธे เคค्เคตเคฐिเคค เคเคฐเคคा เคนै। เคฏเคฆि 50s เคे เคฌाเคฆ B เคो เคाเคฐ्เคก A เคे เคाเคฒเค เคธे เคเคे เคนो เคाเคคा เคนै เคคो เคฆोเคจों เคे เคฌीเค เคเคฐเคฎ्เคญिเค เคฆूเคฐी เคिเคคเคจी เคฅी?
เคนเคฒ:
เคฐेเคฒเคाเคก़िเคฏों เคी เคช्เคฐाเคฐเคฎ्เคญिเค เคคเคฅा เค
เคจ्เคคिเคฎ เคธ्เคฅिเคคिเคฏाँ เคिเคค्เคฐ 3.4 เคฎें เคฆिเคाเคฏी เคเคฏी เคนैं।
เคช्เคฐเคค्เคฏेเค เคाเคก़ी เคी เคช्เคฐाเคฐเคฎ्เคญिเค เคाเคฒ (UPBoardSolutions.com) (ฮฝ0) = 72 เคिเคฎी/เคเคฃ्เคा = 20 เคฎी/เคธे
เคช्เคฐเคถ्เคจ 8:
เคฆो เคฒेเคจ เคตाเคฒी เคिเคธी เคธเคก़เค เคชเคฐ เคाเคฐ A 36 kmh-1 เคी เคाเคฒ เคธे เคเคฒ เคฐเคนी เคนै। เคเค-เคฆूเคธเคฐे เคी เคตिเคชเคฐीเคค เคฆिเคถाเคं เคฎें เคเคฒเคคी เคฆो เคाเคฐें B เคตा C เคिเคจเคฎें เคธे เคช्เคฐเคค्เคฏेเค เคी เคाเคฒ 54 kmh-1 เคนै, เคाเคฐ A เคคเค เคชเคนुँเคเคจा เคाเคนเคคी เคนै। เคिเคธी เค्เคทเคฃ เคเคฌ เคฆूเคฐी AB เคฆूเคฐी AC เคे เคฌเคฐाเคฌเคฐ เคนै เคคเคฅा เคฆोเคจों 1 km เคนैं, เคाเคฐ B เคा เคाเคฒเค เคฏเคน เคจिเคฐ्เคฃเคฏ เคเคฐเคคा เคนै เคि เคाเคฐ C เคे เคाเคฐ A เคคเค เคชเคนुँเคเคจे เคे เคชเคนเคฒे เคนी เคตเคน เคाเคฐ A เคธे เคเคे เคจिเคเคฒ เคाเค। เคिเคธी เคฆुเคฐ्เคเคเคจा เคธे เคฌเคเคจे เคे เคฒिเค เคाเคฐ B เคा เคिเคคเคจा เคจ्เคฏूเคจเคคเคฎ เคค्เคตเคฐเคฃ เคเคฐूเคฐी เคนै?
เคนเคฒ:
เคाเคฐ A เคी เคाเคฒ = (36 x 5/18) เคฎी/เคธे = 10 เคฎी/เคธे
เคाเคฐ B เคคเคฅा เคाเคฐ C เคฆोเคจों เคी เคाเคฒ เคเคเคธเคฎाเคจ เคนै, เค
เคฐ्เคฅाเคค्,
เคช्เคฐเคถ्เคจ 9:
เคฆो เคจเคเคฐ A เคต B เคจिเคฏเคฎिเคค เคฌเคธ เคธेเคตा เคฆ्เคตाเคฐा เคเค-เคฆूเคธเคฐे เคธे เคुเคก़े เคนैं เคเคฐ เคช्เคฐเคค्เคฏेเค เคฎिเคจเค เคे เคฌाเคฆ เคฆोเคจों เคคเคฐเคซ เคฌเคธें เคเคฒเคคी เคนैं। เคोเค เคต्เคฏเค्เคคि เคธाเคเคिเคฒ เคธे 20 kmh-1 เคी เคाเคฒ เคธे A เคธे B เคी เคคเคฐเคซ เคा เคฐเคนा เคนै เคเคฐ เคฏเคน เคจोเค เคเคฐเคคा เคนै เคि เคช्เคฐเคค्เคฏेเค 18 เคฎिเคจเค เคे เคฌाเคฆ เคเค เคฌเคธ เคเคธเคी เคเคคि เคी เคฆिเคถा เคฎें เคคเคฅा เคช्เคฐเคค्เคฏेเค 6 เคฎिเคจเค เคฌाเคฆ เคเคธเคे เคตिเคชเคฐीเคค เคฆिเคถा เคฎें เคुเคเคฐเคคी เคนै। เคฌเคธ เคธेเคตाเคाเคฒ T เคिเคคเคจा เคนै เคเคฐ เคฌเคธें เคธเคก़เค เคชเคฐ เคिเคธ เคाเคฒ (เคธ्เคฅिเคฐ เคฎाเคจिเค) เคธे เคเคฒเคคी เคนैं?
เคนเคฒ:
เคฎाเคจा ฮฝb = เคช्เคฐเคค्เคฏेเค เคฌเคธ เคी เคाเคฒ
เคคเคฅा ฮฝc = เคธाเคเคिเคฒ-เคธเคตाเคฐ เคी เคाเคฒ
เคธाเคเคिเคฒ เคธเคตाเคฐ เคी เคเคคि เคी เคฆिเคถा เคฎें เคเคฒ เคฐเคนी เคฌเคธों เคी เคเคชेเค्เคทिเค เคाเคฒ = ฮฝb – ฮฝc
เคธाเคเคिเคฒ เคธเคตाเคฐ เคी เคเคคि เคी เคฆिเคถा เคฎें เคช्เคฐเคค्เคฏेเค 18 min (UPBoardSolutions.com) เคฏा [latex]\frac { 18 }{ 60 }[/latex] h เคฌाเคฆ เคเค เคฌเคธ เคुเคเคฐเคคी เคนै।
เคช्เคฐเคถ्เคจ 10:
เคोเค เคिเคฒाเคก़ी เคเค เคेंเคฆ เคो เคเคชเคฐ เคी เคเคฐ เคเคฐเคฎ्เคญिเค เคाเคฒ 29 ms-1 เคธे เคซेंเคเคคा เคนै,
(i) เคेंเคฆ เคी เคเคชเคฐ เคी เคเคฐ เคเคคि เคे เคฆौเคฐाเคจ เคค्เคตเคฐเคฃ เคी เคฆिเคถा เค्เคฏा เคนोเคी?
(ii) เคเคธเคी เคเคคि เคे เคเค्เคเคคเคฎ เคฌिเคจ्เคฆु เคชเคฐ เคेंเคฆ เคे เคตेเค เคต เคค्เคตเคฐเคฃ เค्เคฏा เคนोंเคे?
(iii) เคेंเคฆ เคे เคเค्เคเคคเคฎ เคฌिเคจ्เคฆु เคชเคฐ เคธ्เคฅाเคจ เคे เคธเคฎเคฏ เคो x= 0 เคต t = 0 เคुเคจिเค, เคเคง्เคฐ्เคตाเคงเคฐ เคจीเคे เคी เคเคฐ เคी เคฆिเคถा เคो X-เค
เค्เคท เคी เคงเคจाเคค्เคฎเค เคฆिเคถा เคฎाเคจिเค। เคेंเคฆ เคी เคเคชเคฐ เคी เคต เคจीเคे เคी เคเคฐ
เคเคคि เคे เคฆौเคฐाเคจ เคธ्เคฅिเคคि, เคตेเค เคต เคค्เคตเคฐเคฃ เคे เคिเคน्เคจ เคฌเคคाเคเค।
(iv) เคिเคธ เคँเคाเค เคคเค เคेंเคฆ เคเคชเคฐ เคाเคคी เคนै เคเคฐ เคिเคคเคจी เคฆेเคฐ เคे เคฌाเคฆ เคेंเคฆ เคिเคฒाเคก़ी เคे เคนाเคฅों เคฎें เค . เคाเคคी เคนै? [g = 9.8m s-2 เคคเคฅा เคตाเคฏु เคा เคช्เคฐเคคिเคฐोเคง เคจเคเคฃ्เคฏ เคนै।]
เคเคค्เคคเคฐ:
(i) เคेंเคฆ เคुเคฐुเคค्เคต เคे เคाเคฐเคฃ เคค्เคตเคฐเคฃ เคा เคช्เคฐเคญाเคต เค
เคจुเคญเคต เคเคฐเคคी เคนै เคो เคธเคฆैเคต เคเคฐ्เคง्เคตाเคงเคฐ เคจीเคे เคी เคเคฐ เคाเคฐ्เคฏ เคเคฐเคคा เคนै।
(ii) เคเค्เคเคคเคฎ เคฌिเคจ्เคฆु เคชเคฐ เคตेเค = เคถूเคจ्เคฏ
เคเค्เคเคคเคฎ เคฌिเคจ्เคฆु เคชเคฐ เคค्เคตเคฐเคฃ g = 9.8 m s-2 (เคเคง्เคฐ्เคตाเคงเคฐ เคจीเคे เคी เคเคฐ)
(iii) เคเคชเคฐ เคी เคเคฐ เคเคคि เคे เคฒिเค,
(a) เคธ्เคฅिเคคि เคงเคจाเคค्เคฎเค
(b) เคตेเค เคเคฃाเคค्เคฎเค
(c) เคค्เคตเคฐเคฃ เคงเคจाเคค्เคฎเค
เคจीเคे เคी เคเคฐ เคเคคि เคे เคฒिเค,
(a) เคธ्เคฅिเคคि เคงเคจाเคค्เคฎเค
(b) เคตेเค เคงเคจाเคค्เคฎเค
(c) เคค्เคตเคฐเคฃ เคงเคจाเคค्เคฎเค
(iv) เคเคชเคฐ เคी เคเคฐ เคเคคि เคे เคฆौเคฐाเคจ,
เคช्เคฐเคถ्เคจ 11:
เคจीเคे เคฆिเค เคเค เคเคฅเคจों เคो เคง्เคฏाเคจ เคธे เคชเคขिเค เคเคฐ เคाเคฐเคฃ เคฌเคคाเคคे เคนुเค เคต เคเคฆाเคนเคฐเคฃ เคฆेเคคे เคนुเค เคฌเคคाเคเค เคि เคตे เคธเคค्เคฏ เคนैं เคฏा เค
เคธเคค्เคฏ, เคเคเคตिเคฎीเคฏ เคเคคि เคฎें เคिเคธी เคเคฃ เคी
(a) เคिเคธी เค्เคทเคฃ เคाเคฒ เคถूเคจ्เคฏ เคนोเคจे เคชเคฐ เคญी เคเคธเคा เคค्เคตเคฐเคฃ เค
เคถूเคจ्เคฏ เคนो เคธเคเคคा เคนै।
(b) เคाเคฒ เคถूเคจ्เคฏ เคนोเคจे เคชเคฐ เคญी เคเคธเคा เคตेเค เค
เคถूเคจ्เคฏ เคนो เคธเคเคคा เคนै।
(c) เคाเคฒ เคธ्เคฅिเคฐ เคนो เคคो เคค्เคตเคฐเคฃ เค
เคตเคถ्เคฏ เคนी เคถूเคจ्เคฏ เคนोเคจा เคाเคนिเค।
(d) เคाเคฒ เค
เคตเคถ्เคฏ เคนी เคฌंเคขเคคी เคฐเคนेเคी, เคฏเคฆि เคเคธเคा เคค्เคตเคฐเคฃ เคงเคจाเคค्เคฎเค เคนो।
เคเคค्เคคเคฐ:
(a) เคธเคค्เคฏ, เคธเคฐเคฒ เคเคตเคฐ्เคค เคเคคि เคเคฐเคคे เคเคฃ เคी เคฎเคนเคค्เคคเคฎ เคตिเคธ्เคฅाเคชเคจ เคी เคธ्เคฅिเคคि เคฎें เคเคฃ เคी เคाเคฒ เคถूเคจ्เคฏ เคนोเคคी เคนै, เคเคฌเคि เคค्เคตเคฐเคฃ เคฎเคนเคค्เคคเคฎ (เค
เคถूเคจ्เคฏ) เคนोเคคा เคนै।
(b) เค
เคธเคค्เคฏ, เคाเคฒ เคถूเคจ्เคฏ เคนोเคจे เคा เค
เคฐ्เคฅ เคนै เคि เคเคฃ เคे เคตेเค เคा เคชเคฐिเคฎाเคฃ เคถूเคจ्เคฏ เคนै।
(c) เค
เคธเคค्เคฏ, เคเคเคธเคฎाเคจे เคตृเคค्เคคीเคฏ เคเคคि เคเคฐเคคे เคนुเค เคเคฃ เคी เคाเคฒ เคธ्เคฅिเคฐ (UPBoardSolutions.com) เคฐเคนเคคी เคนै เคคो เคญी เคเคธเคी เคเคคि เคฎें। เค
เคญिเคेเคจ्เคฆ्เคฐ เคค्เคตเคฐเคฃ เคाเคฐ्เคฏ เคเคฐเคคा เคนै।
(d) เค
เคธเคค्เคฏ, เคฏเคน เคेเคตเคฒ เคเคฌ เคธเคค्เคฏ เคนो เคธเคเคคा เคนै เคเคฌเคि เคुเคจी เคเค เคงเคจाเคค्เคฎเค เคฆिเคถा เคเคคि เคी เคฆिเคถा เคे เค
เคจुเคฆिเคถ เคนो।
เคช्เคฐเคถ्เคจ 12:
เคिเคธी เคेंเคฆ เคो 90 m เคी เคँเคाเค เคธे เคซเคฐ्เคถ เคชเคฐ เคिเคฐाเคฏा เคाเคคा เคนै। เคซเคฐ्เคถ เคे เคธाเคฅ เคช्เคฐเคค्เคฏेเค เคเค्เคเคฐ เคฎें เคेंเคฆ เคी เคाเคฒ 1/10 เคเคฎ เคนो เคाเคคी เคนै। เคเคธเคी เคเคคि เคा t= 0 เคธे 12s เคे เคฌीเค เคाเคฒ-เคธเคฎเคฏ เค्เคฐाเคซ เคींเคिเค।
เคเคค्เคคเคฐ:
เคช्เคฐเคถ्เคจ 13:
เคเคฆाเคนเคฐเคฃ เคธเคนिเคค เคจिเคฎ्เคจเคฒिเคिเคค เคे เคฌीเค เคे เค
เคจ्เคคเคฐ เคो เคธ्เคชเคท्เค เคीเคिเค
(a) เคिเคธी เคธเคฎเคฏ เค
เคจ्เคคเคฐाเคฒ เคฎें เคตिเคธ्เคฅाเคชเคจ เคे เคชเคฐिเคฎाเคฃ (เคिเคธे เคเคญी-เคเคญी เคฆूเคฐी เคญी เคเคนा เคाเคคा เคนै)। เคเคฐ เคिเคธी เคเคฃ เคฆ्เคตाเคฐा เคเคธी เค
เคจ्เคคเคฐाเคฒ เคे เคฆौเคฐाเคจ เคคเคฏ เคिเค เคเค เคชเคฅ เคी เคुเคฒ เคฒเคฎ्เคฌाเค।
(b) เคिเคธी เคธเคฎเคฏ เค
เคจ्เคคเคฐाเคฒ เคฎें เคเคธเคค เคตेเค เคे เคชเคฐिเคฎाเคฃ เคเคฐ เคเคธी เค
เคจ्เคคเคฐाเคฒ เคฎें เคเคธเคค เคाเคฒ
(เคिเคธी เคธเคฎเคฏ เค
ंเคคเคฐाเคฒ เคฎें เคिเคธी เคเคฃ เคी เคเคธเคค เคाเคฒ เคो เคธเคฎเคฏ เค
เคจ्เคคเคฐाเคฒ เคฆ्เคตाเคฐा เคตिเคญाเคिเคค เคी เคเค เคुเคฒ เคชเคฅ-เคฒเคฎ्เคฌाเค เคे เคฐूเคช เคฎें เคชเคฐिเคญाเคทिเคค เคिเคฏा เคाเคคा เคนै। เคช्เคฐเคฆเคฐ्เคถिเคค เคीเคिเค เคि (a) เคต (b) เคฆोเคจों เคฎें เคนी เคฆूเคธเคฐी เคฐाเคถि-เคชเคนเคฒी เคธे เค
เคงिเค เคฏा เคเคธเคे เคฌเคฐाเคฌเคฐ เคนै। เคธเคฎเคคा เคा | เคिเคน्เคจ เคเคฌ เคธเคค्เคฏ เคนोเคคा เคนै? (เคธเคฐเคฒเคคा เคे เคฒिเค เคेเคตเคฒ เคเคเคตिเคฎीเคฏ เคเคคि เคชเคฐ เคตिเคाเคฐ เคीเคिเค।)
เคเคค्เคคเคฐ:
(a) เคตिเคธ्เคฅाเคชเคจ เคे เคชเคฐिเคฎाเคฃ เคा เค
เคฐ्เคฅ เคนै เคธीเคงी เคฐेเคा เคी เคुเคฒ เคฒเคฎ्เคฌाเค เค
เคฐ्เคฅाเคค् เคเคคि เคे เคช्เคฐाเคฐเคฎ्เคญिเค เคต เค
เคจ्เคคिเคฎ เคฌिเคจ्เคฆुเคं เคे เคฌीเค เคी เคฆूเคฐी। เคเคฃ เคฆ्เคตाเคฐा เคिเคธी เคธเคฎเคฏ เค
เคจ्เคคเคฐाเคฒ เคฎें เคคเคฏ เคिเค เคเค เคจिเคถ्เคिเคค เคชเคฅ เคी เคुเคฒ เคฒเคฎ्เคฌाเค, เคเคธी เค
เคจ्เคคเคฐाเคฒ เคฎें เคเคคि เคे เคช्เคฐाเคฐเคฎ्เคญिเค เคต เค
เคจ्เคคिเคฎ เคฌिเคจ्เคฆुเคं เคे เคฌीเค (UPBoardSolutions.com) เคी เคฆूเคฐी เคญिเคจ्เคจ เคนो เคธเคเคคी เคนै, เคैเคธे เคिเคค्เคฐ-3.7 เคฎें A เคธे B เคคเค เคชเคนुँเคเคจे เคฎें เคชंเคฅ
(1), เคฆूเคฐी เค
เคฐ्เคฅाเคค् เคชเคฅ เคी เคฒเคฎ्เคฌाเค เคो เคคเคฅा เคชเคฅ
(2) เคตिเคธ्เคฅाเคชเคจ เคे เคชเคฐिเคฎाเคฃ เคो เคช्เคฐเคฆเคฐ्เคถिเคค เคเคฐเคคा เคนै।

เคธ्เคชเคท्เค เคนै เคि เคเคธเคค เคाเคฒ เคा เคฎाเคจ เคเคธเคค เคตेเค เคे เคชเคฐिเคฎाเคฃ เคธे เคญिเคจ्เคจ เคนै।
เคคเคฅा เคเคธเคค เคाเคฒ เคा เคฎाเคจ > เคเคธเคค เคตेเค เคो เคชเคฐिเคฎाเคฃ
เคฏเคฆि A เคต B เคे เคฌीเค เคเคคि เคेเคตเคฒ เคชเคฅ (2) เคชเคฐ เคนो เคคเคฌ เคเคธเคค เคाเคฒ =| เคเคธเคค เคตेเค ।
เค
เคคः เคธ्เคชเคท्เค เคนै เคि เคช्เคฐเคค्เคฏेเค เคธ्เคฅिเคคि เคฎें
| เคเคธเคค เคाเคฒ | ≥ | เคเคธเคค เคตेเคे ।
เคช्เคฐเคถ्เคจ 14:
เคोเค เคต्เคฏเค्เคคि เค
เคชเคจे เคเคฐ เคธे เคธीเคงी เคธเคก़เค เคชเคฐ 5 kmh-1 เคी เคाเคฒ เคธे 2.5 km เคฆूเคฐ เคฌाเคाเคฐ เคคเค เคชैเคฆเคฒ เคाเคคा เคนै। เคชเคฐเคจ्เคคु เคฌाเคाเคฐ เคฌเคจ्เคฆ เคฆेเคเคเคฐ เคตเคน เคเคธी เค्เคทเคฃ เคตाเคชเคธ เคฎुเคก़ เคाเคคा เคนै เคคเคฅा 7.5 km h ! เคी เคाเคฒ เคธे เคเคฐ เคฒौเค เคเคคा เคนै। เคธเคฎเคฏ เค
เคจ्เคคเคฐाเคฒ (i) 0-30 เคฎिเคจเค, (ii) 0-50 เคฎिเคจเค, (iii) 0-40 เคฎिเคจเค เคी เค
เคตเคงि เคฎें เคเคธ เคต्เคฏเค्เคคि (a) เคे เคฎाเคง्เคฏ เคตेเค เคा เคชเคฐिเคฎाเคฃ เคคเคฅा (b) เคी เคฎाเคง्เคฏ เคाเคฒ เค्เคฏा เคนै? (เคจोเค—เคเคช เคเคธ เคเคฆाเคนเคฐเคฃ เคธे เคธเคฎเค เคธเคेंเคे เคि เคเคธเคค เคाเคฒ เคो เคเคธเคค-เคตेเค เคे เคชเคฐिเคฎाเคฃ เคे เคฐूเคช เคฎें เคชเคฐिเคญाเคทिเคค เคเคฐเคจे เคी เค
เคชेเค्เคทा เคธเคฎเคฏ เคฆ्เคตाเคฐा เคตिเคญाเคिเคค เคुเคฒ เคชเคฅ-เคฒเคฎ्เคฌाเค เคे เคฐूเคช เคฎें เคชเคฐिเคญाเคทिเคค เคเคฐเคจा เค
เคงिเค เค
เค्เคा เค्เคฏों เคนै? เคเคช เคฅเคเคเคฐ เคเคฐ เคฒौเคे เคเคธ เคต्เคฏเค्เคคि เคो เคฏเคน เคฌเคคाเคจा เคจเคนीं เคाเคนेंเคे เคि เคเคธเคी เคเคธเคค เคाเคฒ เคถूเคจ्เคฏ เคฅी।)
เคนเคฒ:

เคช्เคฐเคถ्เคจ 15:
เคนเคฎเคจे เค
เคญ्เคฏाเคธ เคช्เคฐเคถ्เคจ 13เคคเคฅा 14เคฎें เคเคธเคค เคाเคฒ เคต เคเคธเคค เคตेเค เคे เคชเคฐिเคฎाเคฃ เคे เคฌीเค เคे เค
เคจ्เคคเคฐ เคो เคธ्เคชเคท्เค เคिเคฏा เคนै। เคฏเคฆि เคนเคฎ เคคाเคค्เค्เคทเคฃिเค เคाเคฒ เคต เคตेเค เคे เคชเคฐिเคฎाเคฃ เคชเคฐ เคตिเคाเคฐ เคเคฐเคคे เคนैं เคคो เคเคธ เคคเคฐเคน เคा เค
เคจ्เคคเคฐ เคเคฐเคจा เคเคตเคถ्เคฏเค เคจเคนीं เคนोเคคा। เคคाเคค्เค्เคทเคฃिเค เคाเคฒ เคนเคฎेเคถा เคคाเคค्เค्เคทเคฃिเค เคตेเค เคे เคฌเคฐाเคฌเคฐ เคนोเคคी เคนै। เค्เคฏों?
เคเคค्เคคเคฐ:
เคเคฌ เคนเคฎ เคฏाเคฆृเค्เคिเค เคธเคฎเคฏ เค
เคจ्เคคเคฐाเคฒों เคชเคฐ เคตिเคाเคฐ เคเคฐเคคे เคนैं, เคตिเคธ्เคฅाเคชเคจ เคा เคชเคฐिเคฎाเคฃ เคธเคฆैเคต เคฆूเคฐी เคे เคชเคฐिเคฎाเคฃ เคे เคคुเคฒ्เคฏ เคนोเคคा เคนै। เค
เคจ्เคฏ เคถเคฌ्เคฆों เคฎें,
เค
เคค्เคฏเคจ्เคค เคฒเคु เคธเคฎเคฏ เค
เคจ्เคคเคฐाเคฒों (∆t → 0) เคฎें เคตเคธ्เคคु เคी เคंเคคि เคी เคฆिเคถा เคฎें เคोเค เคชเคฐिเคตเคฐ्เคคเคจ (UPBoardSolutions.com) เคจเคนीं เคฎाเคจा เคाเคคा; เค
เคคः เคुเคฒ เคชเคฅ-เคฒเคฎ्เคฌाเค (เคฆूเคฐी) เคคเคฅा เคตिเคธ्เคฅाเคชเคจ เคे เคชเคฐिเคฎाเคฃ เคฎें เคोเค เค
เคจ्เคคเคฐ เคจเคนीं เคนोเคคा। เคเคธ เคช्เคฐเคाเคฐ เคคाเคค्เค्เคทเคฃिเค เคाเคฒ เคธเคฆैเคต เคคाเคค्เค्เคทเคฃिเค เคตेเค เคे เคชเคฐिเคฎाเคฃ เคे เคคुเคฒ्เคฏ เคนोเคคी เคนै।
เคช्เคฐเคถ्เคจ 16:
เคिเคค्เคฐ-8.8 เคฎें (a) เคธे (d) เคคเค เคे เค्เคฐाเคซों เคो เคง्เคฏाเคจ เคธे เคฆेเคिเค เคเคฐ เคฆेเคเคเคฐ เคฌเคคाเคเค เคि เคเคจเคฎें เคธे เคौเคจ-เคธा เค्เคฐाเคซ เคเคเคตिเคฎीเคฏ เคเคคि เคो เคธเคฎ्เคญเคตเคคः เคจเคนीं เคฆเคฐ्เคถा เคธเคเคคा?
เคเคค्เคคเคฐ:
(a) เคฏเคน เค्เคฐाเคซ เคเคเคตिเคฎीเคฏ เคเคคि เคช्เคฐเคฆเคฐ्เคถिเคค เคจเคนीं เคเคฐเคคा, เคूंเคि เคिเคธी เคเค เค्เคทเคฃ เคชเคฐ เคเคฃ เคी เคฆो เคธ्เคฅिเคคिเคฏाँ เคเคเคตिเคฎीเคฏ เคเคคि เคฎें เคธเคฎ्เคญเคต เคจเคนीं เคนोเคคीं।
(b) เคฏเคน เค्เคฐाเคซ เคเคเคตिเคฎीเคฏ เคเคคि เคช्เคฐเคฆเคฐ्เคถिเคค เคจเคนीं เคเคฐเคคा, เคूँเคि เคिเคธी เค्เคทเคฃ เคชเคฐ เคเคฃ เคा เคตेเค เคงเคจाเคค्เคฎเค เคคเคฅा เคเคฃाเคค्เคฎเค เคฆोเคจों เคฆिเคถाเคं เคฎें เคนै, เคो เคเคเคตिเคฎीเคฏ เคเคคि เคฎें เคธเคฎ्เคญเคต เคจเคนीं เคนै।
(c) เคฏเคน เค्เคฐเคซ เคญी เคเคเคตिเคฎीเคฏ เคเคคि เคช्เคฐเคฆเคฐ्เคถिเคค เคจเคนीं เคเคฐเคคा, เคूँเคि เคฏเคน เค्เคฐाเคซ เคเคฃ เคी เคเคฃाเคค्เคฎเค เคाเคฒ เคต्เคฏเค्เคค เคเคฐ เคฐเคนा เคนै เคคเคฅा เคเคฃ เคी เคाเคฒ เคเคฃाเคค्เคฎเค เคจเคนीं เคนो เคธเคเคคी।
(d) เคฏเคน เค्เคฐाเคซ เคญी เคเคเคตिเคฎीเคฏ เคเคคि เคช्เคฐเคฆเคฐ्เคถिเคค เคจเคนीं เคเคฐเคคा, เคूँเคि เคฏเคน เคช्เคฐเคฆเคฐ्เคถिเคค เคเคฐ เคฐเคนा เคนै เคि เคुเคฒ เคชเคฅ เคी เคฒเคฎ्เคฌाเค เคเค เคจिเคถ्เคिเคค เคธเคฎเคฏ เคे เคชเคถ्เคाเคค् เคเค เคฐเคนी เคนै, เคชเคฐเคจ्เคคु เคเคคिเคฎाเคจ เคเคฃ เคी เคुเคฒ เคชเคฅ-เคฒเคฎ्เคฌाเค เคเคญी เคญी เคธเคฎเคฏ เคे เคธाเคฅ เคจเคนीं เคเคเคคी।।
เคช्เคฐเคถ्เคจ 17:
เคिเคค्เคฐ 3:9 เคฎें เคिเคธी เคเคฃ เคी เคเคเคตिเคฎीเคฏ เคเคคि เคा เค्เคฐाเคซ เคฆिเคाเคฏा เคเคฏा เคนै। เค्เคฐाเคซ เคธे เค्เคฏा เคฏเคน เคเคนเคจा เค ीเค เคนोเคा เคि เคฏเคน เคเคฃ เคนै t<0 เคे เคฒिเค เคिเคธी เคธเคฐเคฒ เคฐेเคा เคฎें เคเคฐ เคนै t > 0 เคे เคฒिเค เคिเคธी เคชเคฐเคตเคฒीเคฏ เคชเคฅ เคฎें เคเคคि เคเคฐเคคा เคนै। เคฏเคฆि เคจเคนीं, เคคो เค्เคฐाเคซ เคे เคธंเคเคค เคिเคธी เคเคिเคค เคญौเคคिเค เคธเคจ्เคฆเคฐ्เคญ เคा เคธुเคाเคต เคฆीเคिเค।
เคเคค्เคคเคฐ:
เคฏเคน เคเคนเคจा เค ीเค เคจเคนीं เคนोเคा เคि เคฏเคน เคเคฃ เคนै t<0 เคे เคฒिเค เคिเคธी เคธเคฐเคฒ เคฐेเคा เคฎें เคเคฐ t > 0 เคे เคฒिเค เคिเคธी เคชเคฐเคตเคฒीเคฏ เคชเคฅ เคฎें เคเคคि เคเคฐเคคा เคนै, เคूँเคि x-t เค्เคฐाเคซ เคเคฃ เคा เคชเคฅ เคช्เคฐเคฆเคฐ्เคถिเคค เคจเคนीं เคเคฐ เคธเคเคคा।
เค्เคฐाเคซ เคฆ्เคตाเคฐा t = 0 เคชเคฐ x= 0 เคช्เคฐเคฆเคฐ्เคถिเคค เคนै; เค
เคค: เค्เคฐाเคซ เคुเคฐुเคค्เคต เคे เค
เคจ्เคคเคฐ्เคเคค เคिเคฐเคคी เคนुเค เคिเคธी เคตเคธ्เคคु เคी เคเคคि เคช्เคฐเคฆเคฐ्เคถिเคค เคเคฐ เคธเคเคคा เคนै।
เคช्เคฐเคถ्เคจ 18:
เคिเคธी เคฐाเคเคฎाเคฐ्เค เคชเคฐ เคชुเคฒिเคธ เคी เคोเค เคाเคก़ी 30 km/h เคी เคाเคฒ เคธे เคเคฒ เคฐเคนी เคนै เคเคฐ เคฏเคน เคเคธी เคฆिเคถा เคฎें 192 km/h เคी เคाเคฒ เคธे เคा เคฐเคนी เคिเคธी เคोเคฐ เคी เคाเคฐ เคชเคฐ เคोเคฒी เคเคฒाเคคी เคนै। เคฏเคฆि เคोเคฒी เคी เคจाเคฒ เคฎुเคी เคाเคฒ 150 ms-1 เคนै เคคो เคोเคฐ เคी เคाเคฐ เคो เคोเคฒी เคिเคธ เคाเคฒ เคे เคธाเคฅ เคเคाเคค เคเคฐेเคी?
(เคจोเค-เคเคธ เคाเคฒ เคो เค्เคाเคค เคीเคिเค เคो เคोเคฐ เคी เคाเคฐ เคो เคนाเคจि เคชเคนुँเคाเคจे เคฎें เคช्เคฐाเคธंเคिเค เคนो।)
เคนเคฒ:
เคोเคฐ เคी เคाเคฐ เคी เคाเคฒ ฮฝt = 192
เคिเคฎी/เคเคฃ्เคा = (192 x 5/18)
เคฎी/เคธे = (160/3) เคฎी/เคธे
เคชुเคฒिเคธ เคी เคाเคฐ เคी เคाเคฒ ฮฝp = 30
เคिเคฎी/เคเคฃ्เคा = (30×5/18)
เคฎी/เคธे = (25/3) เคฎी/เคธे
เคชुเคฒिเคธ เคी เคाเคฐ (เคाเคฒ) เคे เคธाเคชेเค्เคท เคोเคฒी เคी เคाเคฒ, ฮฝbp = 150 เคฎी/เคธे
เคชुเคฒिเคธ เคी เคाเคฐ เคे เคธाเคชेเค्เคท เคोเคฐ เคी เคाเคฐ เคी เคเคชेเค्เคทिเค เคाเคฒ![]()
เคोเคฐ เคी เคाเคฐ เคธे เคोเคฒी เคे เคเคเคฐाเคจे เคी เคाเคฒ = เคชुเคฒिเคธ เคी เคाเคฐ เคे เคธाเคชेเค्เคท เคोเคฒी เคी เคเคชेเค्เคทिเค เคाเคฒ – เคชुเคฒिเคธ เคी เคाเคฐ เคे เคธाเคชेเค्เคท เคोเคฐ เคी เคाเคฐ เคी เคाเคฒ = vbp – vtp
= 150 เคฎी/เคธे – 45 เคฎी/เคธे = 105 เคฎी/เคธे
เคช्เคฐเคถ्เคจ 19:
เคिเคค्เคฐ 3.10 เคฎें เคฆिเคाเค เคเค เคช्เคฐเคค्เคฏेเค เค्เคฐाเคซ เคे เคฒिเค เคिเคธी เคเคिเคค เคญौเคคिเค เคธ्เคฅिเคคि เคा เคธुเคाเคต เคฆीเคिเค
เคเคค्เคคเคฐ:
(a) x-t เค्เคฐाเคซ เคช्เคฐเคฆเคฐ्เคถिเคค เคเคฐ เคฐเคนा เคนै เคि เคช्เคฐाเคฐเคฎ्เคญ เคฎें x เคถूเคจ्เคฏ เคนै, เคซिเคฐ เคฏเคน เคเค เคธ्เคฅिเคฐ เคฎाเคจ เคช्เคฐाเคช्เคค เคเคฐเคคा เคนै, เคชुเคจः เคฏเคน เคถूเคจ्เคฏ เคนो เคाเคคा เคนै เคคเคฅा เคซिเคฐ เคฏเคน เคตिเคชเคฐीเคค เคฆिเคถा เคฎें เคฌเคข़เคเคฐ เค
เคจ्เคค เคฎें เคเค เคธ्เคฅिเคฐ เคฎाเคจ (เคตिเคฐाเคฎाเคตเคธ्เคฅा) เคช्เคฐाเคช्เคค เคเคฐ เคฒेเคคा เคนै। เค
เคคः เคฏเคน เค्เคฐाเคซ เคเคธ เคช्เคฐเคाเคฐ เคी เคญौเคคिเค เคธ्เคฅिเคคि เคต्เคฏเค्เคค เคเคฐ เคธเคเคคा เคนै เคैเคธे เคเค เคेंเคฆ เคो เคตिเคฐाเคฎाเคตเคธ्เคฅा เคธे เคซेंเคा เคाเคคा เคนै เคเคฐ เคตเคน เคฆीเคตाเคฐ เคธे เคเคเคฐाเคเคฐ เคฒौเคเคคी เคนै เคคเคฅा เคเคฎ เคाเคฒ เคธे เคเคเคฒเคคी เคนै เคคเคฅा เคฏเคน เค्เคฐเคฎ เคเคธเคे เคตिเคฐाเคฎ เคฎें เคชเคนुँเคเคจे (UPBoardSolutions.com) เคคเค เคเคฒเคคा เคฐเคนเคคा เคนै।
(b) เคฏเคน เค्เคฐाเคซ เคช्เคฐเคฆเคฐ्เคถिเคค เคเคฐ เคฐเคนा เคนै เคि เคตेเค เคธเคฎเคฏ เคे เคช्เคฐเคค्เคฏेเค เค
เคจ्เคคเคฐाเคฒ เคे เคธाเคฅ เคชเคฐिเคตเคฐ्เคคिเคค เคนो เคฐเคนा เคนै เคคเคฅा เคช्เคฐเคค्เคฏेเค เคฌाเคฐ เคเคธเคा เคตेเค เคเคฎ เคนो เคฐเคนा เคนै। เคเคธเคฒिเค เคฏเคน เค्เคฐाเคซ เคเค เคเคธी เคญौเคคिเค เคธ्เคฅिเคคि เคो เคต्เคฏเค्เคค เคเคฐ เคธเคเคคा เคนै เคिเคธเคฎें เคเค เคธ्เคตเคคเคจ्เคค्เคฐเคคाเคชूเคฐ्เคตเค เคिเคฐเคคी เคนुเค เคेंเคฆ (เคซेंเคे เคाเคจे เคชเคฐ) เคงเคฐเคคी เคธे เคเคเคฐाเคเคฐ เคเคฎ เคाเคฒ เคธे เคชुเคจः เคเคเคฒเคคी เคนै เคคเคฅा เคช्เคฐเคค्เคฏेเค เคฌाเคฐ เคงเคฐเคคी เคธे เคเคเคฐाเคจे เคชเคฐ เคเคธเคी เคाเคฒ เคเคฎ เคนोเคคी เคाเคคी เคนै।
(c) เคฏเคน เค्เคฐाเคซ เคช्เคฐเคฆเคฐ्เคถिเคค เคเคฐเคคा เคนै เคि เคตเคธ्เคคु เค
เคฒ्เคช เคธเคฎเคฏ เคฎें เคนी เคค्เคตเคฐिเคค เคนो เคाเคคी เคนै। เค
เคค: เคฏเคน เค्เคฐाเคซ เคเค เคเคธी เคญौเคคिเค เคธ्เคฅिเคคि เคो เคต्เคฏเค्เคค เคเคฐ เคธเคเคคा เคนै เคिเคธเคฎें เคเคเคธเคฎाเคจ เคाเคฒ เคธे เคเคฒเคคी เคนुเค เคेंเคฆ เคो เค
เคค्เคฏเคฒ्เคช เคธเคฎเคฏाเคจ्เคคเคฐाเคฒ เคฎें เคฌเคฒ्เคฒे เคฆ्เคตाเคฐा เคเคเคฐाเคฏा เคाเคคा เคนै।
เคช्เคฐเคถ्เคจ 20:
เคिเคค्เคฐ 3.11 เคฎें เคिเคธी เคเคฃ เคी เคเคเคตिเคฎीเคฏ เคธเคฐเคฒ เคเคตเคฐ्เคคी เคเคคि เคे เคฒिเค x-t เค्เคฐाเคซ เคฆिเคाเคฏा เคเคฏा เคนै। (เคเคธ เคเคคि เคे เคฌाเคฐे เคฎें เคเคช เค
เคง्เคฏाเคฏ 14 เคฎें เคชเคข़ेंเคे) เคธเคฎเคฏ t = 0.3 s, 1.2 s, – 1.2s เคชเคฐ เคเคฃ เคे เคธ्เคฅिเคคि, เคตेเค เคต เคค्เคตเคฐเคฃ เคे เคिเคน्เคจ เค्เคฏा เคนोंเคे?
เคนเคฒ:
เคธเคฐเคฒ เคเคตเคฐ्เคคी เคเคคि เคฎें, เคค्เคตเคฐเคฃ, ฮฑ= -ฯ2x เคเคนाँ ฯ เคจिเคฏเคคांเค (เคोเคฃीเคฏ เคเคตृเคค्เคคि) เคนै।
เคธเคฎเคฏ t = 0.3s เคชเคฐ, x เคเคฃाเคค्เคฎเค เคนै, x-t เค्เคฐाเคซ เคा เคขाเคฒ เคเคฃाเคค्เคฎเค เคนै; เค
เคคः เคธ्เคฅिเคคि เคเคตं เคตेเค เคเคฃाเคค्เคฎเค เคนैं। เคूंเคि ฮฑ = -ฯ2x);
เค
เคค: เคค्เคตเคฐเคฃ เคงเคจाเคค्เคฎเค เคนै। เคธเคฎเคฏ t = 1.2 s เคชเคฐ, x เคงเคจाเคค्เคฎเค เคนै, x-t เค्เคฐाเคซ เคा เคขाเคฒ เคญी เคงเคจाเคค्เคฎเค เคนै; เค
เคคः เคธ्เคฅिเคคि เคเคตं เคตेเค เคงเคจाเคค्เคฎเค เคนैं। เคूंเคि ฮฑ = ฯ2x; เค
เคคः เคค्เคตเคฐเคฃ เคเคฃाเคค्เคฎเค เคนै।
เคธเคฎเคฏ t = -1.2s เคชเคฐ, x เคเคฃाเคค्เคฎเค เคนै, x-t เค्เคฐाเคซ เคा เคขाเคฒ เคญी เคงเคจाเคค्เคฎเค เคนै; เค
เคคः เคตेเค เคงเคจाเคค्เคฎเค เคนै। เค
เคจ्เคค เคฎें เคค्เคตเคฐเคฃ ‘ฮฑ’ เคญी เคงเคจाเคค्เคฎเค เคนै।
เคช्เคฐเคถ्เคจ 21:
เคिเคค्เคฐ 3.12 เคฎें เคिเคธी เคเคฃ เคी เคเคเคตिเคฎीเคฏ เคเคคि เคा เคนै เค्เคฐाเคซ เคฆเคฐ्เคถाเคคा เคนै। เคเคธเคฎें เคคीเคจ เคธเคฎाเคจ เค
เคจ्เคคเคฐाเคฒ เคฆिเคाเค เคเค เคนैं। เคिเคธ เค
เคจ्เคคเคฐाเคฒ เคฎें เคเคธเคค เคाเคฒ เค
เคงिเคเคคเคฎ เคนै เคเคฐ เคिเคธเคฎें เคจ्เคฏूเคจเคคเคฎ เคนै? เคช्เคฐเคค्เคฏेเค เค
เคจ्เคคเคฐाเคฒ เคे เคฒिเค เคเคธเคค เคตेเค เคा เคिเคน्เคจ เคฌเคคाเคเค।
เคเคค्เคคเคฐ:
เคนเคฎ เคाเคจเคคे เคนैं เคि เคฒเคु เค
เคจ्เคคเคฐाเคฒों เคฎें x-t เค्เคฐाเคซ เคा เคขाเคฒ เคเคธ เค
เคจ्เคคเคฐाเคฒ เคฎें เคเคฃ เคी เคเคธเคค เคाเคฒ เคต्เคฏเค्เคค เคเคฐเคคा เคนै। เค्เคฐाเคซ เคธे เคฏเคน เคธ्เคชเคท्เค เคนै เคि เค
เคจ्เคคเคฐाเคฒ (3) เคฎें เค्เคฐाเคซ เคा เคขाเคฒ เค
เคงिเคเคคเคฎ เคนै, เคชเคฐเคจ्เคคु เค
เคจ्เคคเคฐाเคฒ (2) เคฎें เคจ्เคฏूเคจเคคเคฎ เคนै। เค
เคคः เคเคธเคค เคाเคฒ เค
เคจ्เคคเคฐाเคฒ (3) เคฎें เค
เคงिเคเคคเคฎ เคคเคฅा เค
เคจ्เคคเคฐाเคฒ (2) เคฎें เคจ्เคฏूเคจเคคเคฎ เคนोเคी। เคเคธเคे เค
เคคिเคฐिเค्เคค เค
เคจ्เคคเคฐाเคฒ (1) เคคเคฅा (2) เคฎें เคขाเคฒ เคงเคจाเคค्เคฎเค เคนै เคชเคฐเคจ्เคคु เค
เคจ्เคคเคฐाเคฒ (3) เคฎें เคเคฃाเคค्เคฎเค; เค
เคค: เค
เคจ्เคคเคฐाเคฒ (1) เคต (2) เคฎें เคเคธเคค เคตेเค เคงเคจाเคค्เคฎเค เคนै เคชเคฐเคจ्เคคु เค
เคจ्เคคเคฐाเคฒ (3) เคฎें เคเคฃाเคค्เคฎเค।
เคช्เคฐเคถ्เคจ 22:
เคिเคค्เคฐ-3.13 เคฎें เคिเคธी เคจिเคฏเคค (เคธ्เคฅिเคฐ) เคฆिเคถा เคे เค
เคจुเคฆिเคถ เคเคฒ เคฐเคนे เคเคฃ.เคा เคाเคฒ-เคธเคฎเคฏ เค्เคฐाเคซ เคฆिเคाเคฏा เคเคฏा เคนै। เคเคธเคฎें เคคीเคจ เคธเคฎाเคจ เคธเคฎเคฏ เค
เคจ्เคคเคฐाเคฒ เคฆिเคाเค เคเค เคนैं। เคिเคธ เค
เคจ्เคคเคฐाเคฒ เคฎें เคเคธเคค เคค्เคตเคฐเคฃ เคा เคชเคฐिเคฎाเคฃ เค
เคงिเคเคคเคฎ เคนोเคा? เคिเคธ เค
เคจ्เคคเคฐाเคฒ เคฎें เคเคธเคค เคाเคฒ เค
เคงिเคเคคเคฎ เคนोเคी? เคงเคจाเคค्เคฎเค เคฆिเคถा เคो เคเคคि เคी เคธ्เคฅिเคฐ เคฆिเคถा เคुเคจเคคे เคนुเค เคคीเคจों เค
เคจ्เคคเคฐाเคฒों เคฎें ฮฝ เคคเคฅा a เคे เคिเคน्เคจ เคฌเคคाเคเค। A, B, C เคต D เคฌिเคจ्เคฆुเคं เคชเคฐ เคค्เคตเคฐเคฃ เค्เคฏा เคนोंเคे?
เคเคค्เคคเคฐ:
(i) เคนเคฎ เคाเคจเคคे เคนैं เคि เคฒเคु เค
เคจ्เคคเคฐाเคฒों เคฎें ฮฝ-t เค्เคฐाเคซ เคे เคขाเคฒ เคा เคชเคฐिเคฎाเคฃ เคเคฃ เคे เคเคธเคค เคค्เคตเคฐเคฃ เคो เคชเคฐिเคฎाเคฃ เคฆेเคคा เคนै। เคฆिเค เคเค เคिเคค्เคฐ เคธे เคธ्เคชเคท्เค เคนै เคि เคขाเคฒ เคा เคชเคฐिเคฎाเคฃ
(2) เคฎें เค
เคงिเคเคคเคฎ เคคเคฅा
(3) เคฎें เคจ्เคฏूเคจเคคเคฎ เคนै।
เค
เคค: เคเคธเคค เคค्เคตเคฐเคฃ เคा เคชเคฐिเคฎाเคฃ เค
เคจ्เคคเคฐाเคฒ (2) เคฎें เค
เคงिเคเคคเคฎ เคคเคฅा (3) เคฎें เคจ्เคฏूเคจเคคเคฎ เคนोเคा।
(ii) เคिเคค्เคฐ เคธे เคธ्เคชเคท्เค เคนै เคि เคเคธเคค เคाเคฒ เค
เคจ्เคคเคฐाเคฒ (3) เคฎें เค
เคงिเคเคคเคฎ เคคเคฅा เค
เคจ्เคคเคฐाเคฒ (1) เคฎें เคจ्เคฏूเคจเคคเคฎ เคนै।
(iii) เคธเคญी เคคीเคจों เค
เคจ्เคคเคฐाเคฒों เคฎें เคाเคฒ ฮฝ เคงเคจाเคค्เคฎเค เคนै। เคชुเคจः เค
เคจ्เคคเคฐाเคฒ (1) เคฎें (UPBoardSolutions.com) (ฮฝ-t) เค्เคฐाเคซ เคा เคขाเคฒ เคงเคจाเคค्เคฎเค เคนै, เคเคฌเคि เค
เคจ्เคคเคฐाเคฒ (2) เคฎें เคขाเคฒ (เคค्เคตเคฐเคฃ a) เคเคฃाเคค्เคฎเค เคนै। เคूंเคि เค
เคจ्เคคเคฐाเคฒ (3) เคฎें, ฮฝ-t เค्เคฐाเคซ เคธเคฎเคฏ-เค
เค्เคท เคे เคธเคฎाเคจ्เคคเคฐ เคนै; เค
เคค: เคเคธ เค
เคจ्เคคเคฐाเคฒ เคฎें a เคถूเคจ्เคฏ เคนै।
(iv) A, B, C เคคเคฅा D.เคฌिเคจ्เคฆुเคं เคชเคฐ, ฮฝ-t เค्เคฐाเคซ เคธเคฎเคฏ-เค
เค्เคท เคे เคธเคฎाเคจ्เคคเคฐ เคนै। เคเคธเคฒिเค เคธเคญी เคाเคฐों เคฌिเคจ्เคฆुเคं เคชเคฐ ‘a’ เคถूเคจ्เคฏ เคนै।
เค เคคिเคฐिเค्เคค เค เคญ्เคฏाเคธ
เคช्เคฐเคถ्เคจ 23:
เคोเค เคคीเคจ เคชเคนिเคฏे เคตाเคฒा เคธ्เคूเคเคฐ เค
เคชเคจी เคตिเคฐाเคฎाเคตเคธ्เคฅा เคธे เคเคคि เคช्เคฐाเคฐเคฎ्เคญ เคเคฐเคคा เคนै। เคซिเคฐ 10 s เคคเค เคिเคธी เคธीเคงी เคธเคก़เค เคชเคฐ 1m s-2 เคे เคเคเคธเคฎाเคจ เคค्เคตเคฐเคฃ เคธे เคเคฒเคคा เคนै। เคเคธเคे เคฌाเคฆ เคตเคน เคเคเคธเคฎाเคจ เคตेเค เคธे เคเคฒเคคा เคนै। เคธ्เคूเคเคฐ เคฆ्เคตाเคฐा เคจाเคตें เคธेเคเคฃ्เคก (n= 1, 2, 3, ……) เคฎें เคคเคฏ เคी เคเค เคฆूเคฐी เคो n เคे เคธाเคชेเค्เคท เคเคฒेเคिเคค เคीเคिเค। เคเคช เค्เคฏा เคเคถा เคเคฐเคคे เคนैं เคि เคค्เคตเคฐिเคค เคเคคि เคे เคฆौเคฐाเคจ เคฏเคน เค्เคฐाเคซ เคोเค เคธเคฐเคฒ เคฐेเคा เคฏा เคोเค เคชเคฐเคตเคฒเคฏ เคนोเคा?
เคนเคฒ:
เคนเคฎ เคाเคจเคคे เคนैं เคि

เคिเคค्เคฐ-3.14 เคฎें เคช्เคฐเคฆเคฐ्เคถिเคค เค्เคฐाเคซ เคธे เคธ्เคชเคท्เค เคนै เคि เคค्เคตเคฐिเคค เคเคคि เคे เคฆौเคฐाเคจ เคนเคฎें เคเค เคธเคฐเคฒ เคฐेเคा เคช्เคฐाเคช्เคค เคนोเคคी เคนै।
เคช्เคฐเคถ्เคจ 24:
เคिเคธी เคธ्เคฅिเคฐ เคฒिเคซ्เค เคฎें (เคो เคเคชเคฐ เคธे เคुเคฒी เคนै) เคोเค เคฌाเคฒเค เคเคก़ा เคนै। เคตเคน เค
เคชเคจे เคชूเคฐे เคोเคฐ เคธे เคเค เคेंเคฆ เคเคชเคฐ เคी เคเคฐ เคซेंเคเคคा เคนै เคिเคธเคी เคช्เคฐाเคฐเคฎ्เคญिเค เคाเคฒ 49 ms-1 เคนै। เคเคธเคे เคนाเคฅों เคฎें เคेंเคฆ เคे เคตाเคชเคธ เคเคจे เคฎें เคिเคคเคจा เคธเคฎเคฏ เคฒเคेเคा? เคฏเคฆि เคฒिเคซ्เค เคเคชเคฐ เคी เคเคฐ 5 m s-1 เคी เคเคเคธเคฎाเคจ เคाเคฒ เคธे เคเคคि เคเคฐเคจा เคช्เคฐाเคฐเคฎ्เคญ เคเคฐ เคฆे เคเคฐ เคตเคน เคฌाเคฒเค เคซिเคฐ เคेंเคฆ เคो เค
เคชเคจे เคชूเคฐे เคोเคฐ เคธे เคซेंเคเคคा เคคो เคिเคคเคจी เคฆेเคฐ เคฎें เคेंเคฆ เคเคธเคे เคนाเคฅों เคฎें เคฒौเค เคเคเคी?
เคนเคฒ:
เคเคฌ เคฒिเคซ्เค เคเคชเคฐ เคी เคเคฐ 5 เคฎी/เคธे เคी เคाเคฒ เคธे เคเคคि เคเคฐเคฎ्เคญ เคเคฐे เคคो เคญी เคेंเคฆ เค
เคฌ เคญी เคชूเคฐ्เคต เคी เคญाँเคคि 10 เคธेเคเคฃ्เคก เคนी เคฒेเคी, เคूंเคि เคेंเคฆ เคी เคฌाเคฒเค เคे เคธाเคชेเค्เคท เคเคชेเค्เคทिเค เคเคคि เคเคฌ เคญी 49 เคฎी/เคธे เคนी เคนोเคी।
เคช्เคฐเคถ्เคจ 25:
เค्เคทैเคคिเค เคฎें เคเคคिเคฎाเคจ เคोเค เคฒเคฎ्เคฌा เคชเค्เคा (เคिเคค्เคฐ-3.15) 4 km/h เคी เคाเคฒ เคธे เคเคฒ เคฐเคนा เคนै। เคเค เคฌाเคฒเค เคเคธ เคชเคฐ (เคชเค्เคे เคे เคธाเคชेเค्เคท) 9 km/h เคी เคाเคฒ เคธे เคเคญी เคเคे, เคเคญी เคชीเคे เค
เคชเคจे เคฎाเคคा-เคชिเคคा เคे เคฌीเค เคฆौเคก़ เคฐเคนा เคนै। เคฎाเคคा เคต เคชिเคคा เคे เคฌीเค 50 m เคी เคฆूเคฐी เคนै। เคฌाเคนเคฐ เคिเคธी เคธ्เคฅिเคฐ เคช्เคฒेเคเคซाเคฐ्เคฎ เคชเคฐ เคเคก़े เคเค เคช्เคฐेเค्เคทเค เคे เคฒिเค, เคจिเคฎ्เคจเคฒिเคिเคค เคा เคฎाเคจ เคช्เคฐाเคช्เคค เคเคฐिเค
(a) เคชเค्เคे เคी เคเคคि เคी เคฆिเคถा เคฎें เคฆौเคก़ เคฐเคนे เคฌाเคฒเค เคी เคाเคฒ,
(b) เคชเค्เคे เคी เคเคคि เคी เคฆिเคถा เคे เคตिเคชเคฐीเคค เคฆौเคก़ เคฐเคนे เคฌाเคฒเค เคी เคाเคฒ,
(c) เคฌเค्เคे เคฆ्เคตाเคฐा (a) เคต (b) เคฎें เคฒिเคฏा เคเคฏा เคธเคฎเคฏ เคฏเคฆि เคฌाเคฒเค เคी เคเคคि เคा เคช्เคฐेเค्เคทเคฃ เคเคธเคे เคฎाเคคा เคฏा เคชिเคคा เคเคฐें เคคो เคौเคจ-เคธा เคเคค्เคคเคฐ เคฌเคฆเคฒ เคाเคเคा?
เคนเคฒ:
เคช्เคฐเคถ्เคจ 26:
เคिเคธी 200 m เคँเคी เคเคก़ी เคเค्เคाเคจ เคे เคिเคจाเคฐे เคธे เคฆो เคชเคค्เคฅเคฐों เคो เคเค เคธाเคฅ เคเคชเคฐ เคी เคเคฐ 15 m s-1 เคคเคฅा 30 m s-1 เคी เคช्เคฐाเคฐเคฎ्เคญिเค เคाเคฒ เคธे เคซेंเคा เคाเคคा เคนै। เคเคธเคा เคธเคค्เคฏाเคชเคจ เคीเคिเค เคि เคธंเคฒเค्เคจ เค्เคฐाเคซ (เคिเคค्เคฐ-3.16) เคชเคนเคฒे เคชเคค्เคฅเคฐ เคे เคธाเคชेเค्เคท เคฆूเคธเคฐे เคชเคค्เคฅเคฐ เคी เคเคชेเค्เคทिเค เคธ्เคฅिเคคि เคा เคธเคฎเคฏ เคे เคธाเคฅ เคชเคฐिเคตเคฐ्เคคเคจ เคो เคช्เคฐเคฆเคฐ्เคถिเคค เคเคฐเคคा เคนै। เคตाเคฏु เคे เคช्เคฐเคคिเคฐोเคง เคो เคจเคเคฃ्เคฏ เคฎाเคจिเค เคเคฐ เคฏเคน เคฎाเคจिเค เคि เคเคฎीเคจ เคธे เคเคเคฐाเคจे เคे เคฌाเคฆ เคชเคค्เคฅเคฐ เคเคชเคฐ เคी เคเคฐ เคเคเคฒเคคे เคจเคนीं। เคฎाเคจ เคฒीเคिเค g = 10 m s-2 เค्เคฐाเคซ เคे เคฐेเคीเคฏ เคต เคตเค्เคฐीเคฏ เคญाเคों เคे เคฒिเค เคธเคฎीเคเคฐเคฃ เคฒिเคिเค।
เคนเคฒ:
เคชเคนเคฒे เคชเคค्เคฅเคฐ เคे เคฒिเค,
เคช्เคฐเคถ्เคจ 27:
เคिเคธी เคจिเคถ्เคिเคค เคฆिเคถा เคे เค
เคจुเคฆिเคถ เคเคฒ เคฐเคนे เคिเคธी เคเคฃ เคा เคाเคฒ-เคธเคฎเคฏ เค्เคฐाเคซ เคिเคค्เคฐ-3.17 เคฎें เคฆिเคाเคฏा เคเคฏा เคนै। เคเคฃ เคฆ्เคตाเคฐा
(a) t = 0s เคธे t= 10 s,
(b) t = 2s เคธे 6s เคे เคฌीเค เคคเคฏ เคी เคเค เคฆूเคฐी เค्เคाเคค เคीเคिเค।
(a) เคคเคฅा (b) เคฎें เคฆिเค เคเค เค
เคจ्เคคเคฐाเคฒों เคी เค
เคตเคงि เคฎेंเคเคฃ เคी เคเคธเคค เคाเคฒ เค्เคฏा เคนै?
เคนเคฒ:
(a) t = 0 เคธे t = 10 เคธेเคเคฃ्เคก เคे เคฌीเค เคเคฃ เคฆ्เคตाเคฐा เคคเคฏ เคी เคเคฏी เคฆूเคฐी = ∆OAB เคा เค्เคทेเคค्เคฐเคซเคฒ
เคช्เคฐเคถ्เคจ 28:
เคเคเคตिเคฎीเคฏ เคเคคि เคฎें เคिเคธीเคเคฃ เคा เคตेเค-เคธเคฎเคฏ เค्เคฐाเคซ เคिเคค्เคฐ-3.18 เคฎें เคฆिเคाเคฏा เคเคฏा เคนै-เคจीเคे เคฆिเค เคธूเคค्เคฐों เคฎें t1 เคธे t2 เคคเค เคे เคธเคฎเคฏ เค
เคจ्เคคเคฐाเคฒ เคी เค
เคตเคงि เคฎें เคเคฃ เคी เคเคคि เคा เคตเคฐ्เคฃเคจ เคเคฐเคจे เคे เคฒिเค เคौเคจ-เคธे เคธूเคค्เคฐ เคธเคนी เคนैं
เคเคค्เคคเคฐ:
(i) เคฏเคน เคธเคนी เคจเคนीं เคนै, เค्เคฏोंเคि t1 , เคคเคฅा t2, เคे เคฌीเค เค
เคจ्เคคเคฐाเคฒ เคฎें d เคธ्เคฅिเคฐ เคจเคนीं เคนै।
(ii) เคฏเคน เคธूเคค्เคฐ เคญी เคธเคนी เคจเคนीं เคนै। เคฏเคนाँ เคญी a เคธ्เคฅिเคฐ เคจเคนीं เคนै।
(iii) เคฏเคน เคธूเคค्เคฐ เคธเคนी เคนै।
(iv) เคฏเคน เคธूเคค्เคฐ เคธเคนी เคนै।
(v) เคฏเคน เคธूเคค्เคฐ เคธเคนी เคจเคนीं เคนै, เค्เคฏोंเคि เคเคธเคฎें เคเคธเคค เคค्เคตเคฐเคฃ เคो เคช्เคฐเคฏुเค्เคค เคจเคนीं เคिเคฏा เคा เคธเคเคคा।
(vi) เคฏเคน เคธूเคค्เคฐ เคธเคนी เคนै।
เคชเคฐीเค्เคทोเคชเคฏोเคी เคช्เคฐเคถ्เคจोเคค्เคคเคฐ
เคฌเคนुเคตिเคเคฒ्เคชीเคฏ เคช्เคฐเคถ्เคจ
เคช्เคฐเคถ्เคจ 1:
เคฏเคฆि เคोเค เคตเคธ्เคคु เคชृเคฅ्เคตी เคी เคเคฐ เคฎुเค्เคค เคฐूเคช เคธे เคिเคฐเคคी เคนै, เคคो เคตเคธ्เคคु เคी เคเคคि เคนोเคी
(i) เคเคเคตिเคฎीเคฏ
(ii) เคฆ्เคตिเคตिเคฎीเคฏ เคเคคि
(iii) เคค्เคฐिเคตिเคฎीเคฏ เคुเคคि
(iv) เคเคจเคฎें เคธे เคोเค เคจเคนीं
เคเคค्เคคเคฐ:
(i) เคเคเคตिเคฎीเคฏ
เคช्เคฐเคถ्เคจ 2:
เคเค เคตเคธ्เคคु เคฆ्เคตाเคฐा เคเคฒी เคเค เคฆूเคฐी เคธเคฎเคฏ เคे เค
เคจुเค्เคฐเคฎाเคจुเคชाเคคी เคนै। เคเคธเคा เค
เคฐ्เคฅ เคนै เคि เคตเคธ्เคคु
(i) เคธเคฎाเคจ เคाเคฒ เคธे เคเคฒ เคฐเคนी เคนै ।
(ii) เคी เคाเคฒ เคถूเคจ्เคฏ เคนै।
(iii) เคธเคฎाเคจ เคตेเค เคธे เคเคฒ เคฐเคนी เคนै।
(iv) เคธเคฎाเคจ เคค्เคตเคฐเคฃ เคธे เคเคฒ เคฐเคนी เคนै।
เคเคค्เคคเคฐ:
(iii) เคธเคฎाเคจ เคตेเค เคธे เคเคฒ เคฐเคนी เคนै।
เคช्เคฐเคถ्เคจ 3:
เคเค เคตเคธ्เคคु เคा เคाเคฒ-เคธเคฎเคฏ เค्เคฐाเคซ X-เค
เค्เคท เคे เคธเคฎाเคจाเคจ्เคคเคฐ เคเค เคฐेเคा เคนै। เคเคธเคा เค
เคฐ्เคฅ เคนै।
(i) เคตเคธ्เคคु เคธเคฎाเคจ เคเคคि เคธे เคเคฒ เคฐเคนी เคนै।
(ii) เคตเคธ्เคคु เค
เคธเคฎाเคจ เคเคคि เคธे เคเคฒ เคฐเคนी เคนै।
(iii) เคตเคธ्เคคु เคธ्เคฅिเคฐ เคนै।
(iv) เคตเคธ्เคคु เคค्เคตเคฐिเคค เคเคคि เคธे เคเคฒ เคฐเคนी เคนै।
เคเคค्เคคเคฐ:
(i) เคตเคธ्เคคु เคธเคฎाเคจ เคเคคि เคธे เคเคฒ เคฐเคนी เคนै।
เคช्เคฐเคถ्เคจ 4:
เคตेเค เค
เคฅเคตा เคाเคฒ เคा เคฎाเคค्เคฐเค เคนै।
(i) เคฎीเคเคฐ-เคธेเคเคฃ्เคก
(ii) เคฎीเคเคฐ/เคธेเคเคฃ्เคก
(iii) เคฎीเคเคฐ/เคธेเคเคฃ्เคก2
(iv) เคฎीเคเคฐ-เคธेเคเคฃ्เคก2
เคเคค्เคคเคฐ:
(ii) เคฎीเคเคฐ/เคธेเคเคฃ्เคก
เคช्เคฐเคถ्เคจ 5:
เคฆो เคฐेเคฒเคाเคก़िเคฏाँ เค्เคฐเคฎเคถ u เคคเคฅा v เคตेเค เคธे เคตिเคชเคฐीเคค เคฆिเคถाเคं เคฎें เคเคฒ เคฐเคนी เคนैं। เคชเคนเคฒी เคाเคก़ी เคे เคธाเคชेเค्เคท เคฆूเคธเคฐी เคाเคก़ी เคा เคตेเค เคนोเคा
(i) v- u
(ii) v + u
(iii) u – v
(iv) เคถूเคจ्เคฏ
เคเคค्เคคเคฐ:
(ii) u +v
เคช्เคฐเคถ्เคจ 6:
เคชृเคฅ्เคตी เคคเคฒ เคธे เคเคง्เคฐ्เคตाเคงเคฐ เคเคชเคฐ เคी เคเคฐ เคซेंเคा เคเคฏा เคชिเคฃ्เคก เคเคฌ เคฎเคนเคค्เคคเคฎ เคँเคाเค เคชเคฐ เคนोเคคा เคนै, เคคो เคเคธเคा
(i) เคตेเค เค
เคงिเคเคคเคฎ เคนोเคคा เคนै।
(ii) เคค्เคตเคฐเคฃ เคถूเคจ्เคฏ เคนोเคคा เคนै।
(iii) เคค्เคตเคฐเคฃ เค
เคงिเคเคคเคฎ เคนोเคคा เคนै।
(iv) เคตेเค เคถूเคจ्เคฏ เคนोเคคा เคนै।
เคเคค्เคคเคฐ:
(iv) เคตेเค เคถूเคจ्เคฏ เคนोเคคा เคนै
เคช्เคฐเคถ्เคจ 7:
เคเค เคตเคธ्เคคु เคตिเคฐाเคฎाเคตเคธ्เคฅा เคธे hเคँเคी เคฎीเคจाเคฐ เคी เคोเคी เคธे เคिเคฐเคคी เคนै। เคชृเคฅ्เคตी เคชเคฐ เคชเคนुँเคเคจे เคชเคฐ เคเคธเคा เคตेเค เคนोเคा![]()
เคเคค्เคคเคฐ:
(iii) [latex]\sqrt { 2gh }[/latex]
เคช्เคฐเคถ्เคจ 8:
เคฆो เคชเคค्เคฅเคฐ เคชเคฐเคธ्เคชเคฐ 3:5 เคे เค
เคจुเคชाเคค เคे เคตेเคों เคธे เคเคง्เคฐ्เคตाเคงเคฐเคคः เคเคชเคฐ เคी เคเคฐ เคซेंเคे เคाเคคे เคนैं। เคฏเคฆि เคตे เค्เคฐเคฎเคถ h1 เคต h2 เคँเคाเค เคคเค เคाเคँ เคคो h1: h2 เคฌเคฐाเคฌเคฐ เคนोเคा
(i) 3: 5
(ii) 5 : 3
(iii) 15 : 1
(iv) 9: 25
เคเคค्เคคเคฐ:
(iv) 9:25
เคช्เคฐเคถ्เคจ 9:
เคเค เคเคฃ เคा เคช्เคฐाเคฐเคฎ्เคญिเค เคตेเค 10 เคฎीเคเคฐ/เคธेเคเคฃ्เคก2 เคคเคฅा เคฎเคจ्เคฆเคจ 2 เคฎीเคเคฐ/เคธेเคเคฃ्เคก เคนै। เคเคฃ เคฆ्เคตाเคฐा 5เคตें เคธेเคเคฃ्เคก เคฎें เคเคฒी เคเค เคฆूเคฐी เคนै।
(i) 1 เคฎीเคเคฐ
(ii) 19 เคฎीเคเคฐ
(iii) 5 เคฎीเคเคฐ
(iv) 75 เคฎीเคเคฐ
เคเคค्เคคเคฐ:
(i) 1 เคฎीเคเคฐ
เคช्เคฐเคถ्เคจ 10:
เคฎीเคจाเคฐ เคी เคोเคी เคธे เคोเคก़ा เคเคฏा เคชเคค्เคฅเคฐ เคชृเคฅ्เคตी เคชเคฐ 4 เคธेเคเคฃ्เคก เคฎें เคชเคนुँเคเคคा เคนै। เคฎीเคจाเคฐ เคी เคँเคाเค เคนै
(i) 20 เคฎीเคเคฐ
(ii) 40 เคฎीเคเคฐ
(iii) 80 เคฎीเคเคฐ
(iv) 160 เคฎीเคเคฐ
เคเคค्เคคเคฐ:
(iii) 80 เคฎीเคเคฐ
เคช्เคฐเคถ्เคจ 11:
เคเค เคชिเคฃ्เคก เคो เคชृเคฅ्เคตी เคธे เคเคชเคฐ เคी เคเคฐ 100 เคฎी/เคธेเคเคฃ्เคก เคे เคตेเค เคธे เคซेंเคा เคाเคคा เคนै। เคตเคน เคตाเคชเคธ เคชृเคฅ्เคตी เคชเคฐ เคชเคนुँเคเคจे เคฎें เคธเคฎเคฏ เคฒेเคा (เคฒเคเคญเค)
(i) 10 เคธेเคเคฃ्เคก
(ii) 20 เคธेเคเคฃ्เคก
(iii) 15 เคธेเคเคฃ्เคก
(iv) 5 เคธेเคเคฃ्เคก
เคเคค्เคคเคฐ:
(ii) 20 เคธेเคเคฃ्เคกे
เคช्เคฐเคถ्เคจ 12:
เคเค เคชिเคฃ्เคก X-เค
เค्เคท เคी เคฆिเคถा เคฎें เคเคธ เคช्เคฐเคाเคฐ เคเคฒเคคा เคนै เคि เคจिเคฐ्เคฆेเคถांเค x, เคธเคฎเคฏ t (เคธेเคเคฃ्เคก) เคे เคธाเคฅ เคธเคฎीเคเคฐเคฃ = 2- 5t + 6t2 เคฎीเคเคฐ เคे เค
เคจुเคธाเคฐ เคชเคฐिเคตเคฐ्เคคिเคค เคนोเคคा เคนै। เคชिเคฃ्เคก เคा เคช्เคฐाเคฐเคฎ्เคญिเค เคตेเค เคนै।
(i) – 5 เคฎी/เคธे
(ii)-3 เคฎी/เคธे
(iii) 6 เคฎी/เคธे
(iv) 3 เคฎी/เคธे
เคเคค्เคคเคฐ:
(i) -5 เคฎी/เคธे।
เคช्เคฐเคถ्เคจ 13:
1000 เคिเค्เคฐा เคฆ्เคฐเคต्เคฏเคฎाเคจ เคी เคเค เคाเคฐ 40 เคฎी/เคธे เคी เคाเคฒ เคธे เคเคคि เคเคฐ เคฐเคนी เคนै। เคเคธे เคฐोเคเคจे เคे เคฒिเค เคฌ्เคฐेเค เคฒเคाเคฏा เคाเคคा เคนै। เคฏเคฆि เคฌ्เคฐेเค เคा เคฌเคฒ 4000 เคจ्เคฏूเคเคจ เคนो, เคคो เคाเคฐ เคो เคฐोเคเคจे เคฎें เคเคตเคถ्เคฏเค เคธเคฎเคฏ เคนोเคा।
(i) 5 เคธेเคเคฃ्เคก
(ii) 10 เคธेเคเคฃ्เคก
(iii) 15 เคธेเคเคฃ्เคก
(iv) 20 เคธेเคเคฃ्เคก
เคเคค्เคคเคฐ:
(ii) 10 เคธेเคเคฃ्เคก
เคช्เคฐเคถ्เคจ 14:
2000 เคिเค्เคฐा เคฆ्เคฐเคต्เคฏเคฎाเคจ เคी เคเค เคाเคฐ 20 เคฎी/เคธे เคी เคाเคฒ เคธे เคเคคि เคเคฐ เคฐเคนी เคนै। เคฌ्เคฐेเค เคा เคช्เคฐเคฏोเค เคเคฐ เคाเคฐ เคो เคฐोเคा เคाเคคा เคนै। เคฏเคฆि เคฎเคจ्เคฆเค เคฌเคฒ 2000 N เคนो, เคคो เคाเคฐ เคो เคฐोเคเคจे เคฎें เคเคตเคถ्เคฏเค เคธเคฎเคฏ เคนोเคा।
(i) 5 เคธेเคเคฃ्เคก़
(ii) 10 เคธेเคเคฃ्เคก
(iii) 15 เคธेเคเคฃ्เคก
(iv) 20 เคธेเคเคฃ्เคก
เคเคค्เคคเคฐ:
(iv) 20 เคธेเคเคฃ्เคก
เคช्เคฐเคถ्เคจ 15:
เคเค เคाเคฐ เคธเคฐ्เคตเคช्เคฐเคฅเคฎ 5 เคिเคฎी เคฆूเคฐी เคชूเคฐ्เคต เคฆिเคถा เคฎें เคคเคฏ เคเคฐเคคी เคนै เคเคธเคे เคฌाเคฆ 12 เคिเคฎी เคฆूเคฐी เคเคค्เคคเคฐ เคฆिเคถा เคฎें เคคเคฏ เคเคฐเคคी เคนै। เคाเคฐ เคฆ्เคตाเคฐा เคคเคฏ เคी เคเค เคुเคฒ เคฆूเคฐी เคคเคฅा เคตिเคธ्เคฅाเคชเคจ เคนोเคा
(i) 17 เคिเคฎी, 13 เคिเคฎी.
(ii) 15 เคिเคฎी, 40 เคिเคฎी
(iii) 50 เคिเคฎी, 35 เคिเคฎी
(iv) 5 เคिเคฎी, 35 เคिเคฎी
เคเคค्เคคเคฐ:
(i) 17 เคिเคฎी, 13 เคिเคฎी
เคช्เคฐเคถ्เคจ 16:
M.K.S. เคชเคฆ्เคงเคคि เคฎें เคค्เคตเคฐเคฃ เคा เคฎाเคค्เคฐเค เคนै।
(i) เคฎीเคเคฐ/เคธेเคเคฃ्เคก
(ii) เคจ्เคฏूเคเคจ/เคฎीเคเคฐ
(iii) เคฎीเคเคฐ/เคธेเคเคฃ्เคก2
(iv) เคिเค्เคฐा-เคฎीเคเคฐ/เคธेเคเคฃ्เคก
เคเคค्เคคเคฐ:
(iii) เคฎीเคเคฐ/เคธेเคเคฃ्เคก2
เคช्เคฐเคถ्เคจ 17:
เคाเคฒ-เคธเคฎเคฏ เค्เคฐाเคซ เคा เคขाเคฒ เคช्เคฐเคฆเคฐ्เคถिเคค เคเคฐเคคा เคนै।
(i) เคाเคฒ
(ii) เคค्เคตเคฐเคฃ
(iii) เคตिเคธ्เคฅाเคชเคจ
(iv) เคฆ्เคตेเค
เคเคค्เคคเคฐ:
(ii) เคค्เคตเคฐเคฃ
เคช्เคฐเคถ्เคจ 18:
เคเค เคเคคिเคฎाเคจ เคตเคธ्เคคु เคฆ्เคตाเคฐा เคคเคฏ เคी เคเคฏी เคฆूเคฐी เคธเคฎเคฏ เคे เคตเคฐ्เค เคे เค
เคจुเค्เคฐเคฎाเคจुเคชाเคคी เคนै। เคตเคธ्เคคु เคा เคค्เคตเคฐเคฃ
(i) เคฌเคข़ เคฐเคนा เคนै।
(ii) เคเค เคฐเคนा เคนै।
(iii) เคถूเคจ्เคฏ เคนै
(iv) เคจिเคฏเคค เคนै।
เคเคค्เคคเคฐ:
(iv) เคจिเคฏเคค เคนै।
เคช्เคฐเคถ्เคจ 19:
เคเคก़เคค्เคตीเคฏ เคจिเคฐ्เคฆेเคถ เคคเคจ्เคค्เคฐ เคฎें เคค्เคตเคฐเคฃ a เคा เคฎाเคจ เคถूเคจ्เคฏ เคนोเคคा เคนै, เคเคฌ
(i) F > 1
(ii) F<1
(iii) F =1
(iv) F = 0
เคเคค्เคคเคฐ:
(iv) F= 0
เค เคคिเคฒเคु เคเคค्เคคเคฐीเคฏ เคช्เคฐเคถ्เคจ
เคช्เคฐเคถ्เคจ 1:
เคตिเคธ्เคฅाเคชเคจ เคธे เค्เคฏा เคคाเคค्เคชเคฐ्เคฏ เคนै?
เคเคค्เคคเคฐ:
เคिเคธी เคเคคिเคถीเคฒ เคตเคธ्เคคु เคी เคช्เคฐाเคฐเคญिเค เคเคฐ เค
เคจ्เคคिเคฎ เคธ्เคฅिเคคिเคฏों เคे เคฌीเค เคจ्เคฏूเคจเคคเคฎ เคฆूเคฐी เคो เคตिเคธ्เคฅाเคชเคจ เคเคนเคคे เคนैं। เคฏเคน เคเค เคธเคฆिเคถ เคฐाเคถि เคนै।
เคช्เคฐเคถ्เคจ 2:
เคฆूเคฐी เคคเคฅा เคตिเคธ्เคฅाเคชเคจ เคฎें เคธे เคौเคจ เคธเคฆिเคถ เคฐाเคถि เคนै?
เคเคค्เคคเคฐ:
เคตिเคธ्เคฅाเคชเคจ।
เคช्เคฐเคถ्เคจ 3:
เคตेเค-เคธเคฎเคฏ เค्เคฐाเคซ เคคเคฅा เคธเคฎเคฏ-เค
เค्เคท เคे เคฌीเค เคा เค्เคทेเคค्เคฐเคซเคฒ เค्เคฏा เคช्เคฐเคฆเคฐ्เคถिเคค เคเคฐเคคा เคนै?
เคเคค्เคคเคฐ:
เคตिเคธ्เคฅाเคชเคจ।
เคช्เคฐเคถ्เคจ 4:
เค्เคฏा เคिเคธी เคตเคธ्เคคु เคा เคตेเค เคจिเคฏเคค เคคเคฅा เคाเคฒ เคชเคฐिเคตเคฐ्เคคी เคนो เคธเคเคคी เคนै?
เคเคค्เคคเคฐ:
เคจเคนीं।
เคช्เคฐเคถ्เคจ 5:
เคธ्เคฅिเคคि-เคธเคฎเคฏ เค्เคฐाเคซ เคा เคขाเคฒ เค्เคฏा เคช्เคฐเคฆเคฐ्เคถिเคค เคเคฐเคคा เคนै?
เคเคค्เคคเคฐ:
เคตेเค।
เคช्เคฐเคถ्เคจ 6:
เคเค เคตเคธ्เคคु เคเคง्เคตเคงเคฐ เคเคชเคฐ เคी เคเคฐ เคซेंเคी เคाเคคी เคนै เคคเคฅा เคตเคน h เคँเคाเค เคคเค เคाเคเคฐ เคช्เคฐेเค्เคทเคฃ เคฌिเคจ्เคฆु เคชเคฐ เคฒौเค เคเคคी เคนै। เคตเคธ्เคคु เคฆ्เคตाเคฐा เคคเคฏ เคी เคเค เคฆूเคฐी เคต เคตिเคธ्เคฅाเคชเคจ เคे เคฎाเคจ เคฌเคคाเคเค।
เคเคค्เคคเคฐ:
เคฆूเคฐी = 2h, เคตिเคธ्เคฅाเคชเคจ = 0.
เคช्เคฐเคถ्เคจ 7:
เคเค เคฎीเคจाเคฐ เคी เคोเคी เคธे เคเค เคेंเคฆ เคिเคธी เคจिเคถ्เคिเคค เคตेเค เคธे เคเคง्เคตเคงเคฐ เคเคชเคฐ เคी เคเคฐ เคคเคฅा เคฆूเคธเคฐी เคेंเคฆ เคเคธी เคตेเค เคธे เค ीเค เคจीเคे เคी เคเคฐ เคช्เคฐเค्เคทेเคชिเคค เคी เคाเคคी เคนैं, เคौเคจ-เคธी เคेंเคฆ เคो เคชृเคฅ्เคตी เคธे เคเคเคฐाเคจे เคชเคฐ
เคตेเค เค
เคงिเค เคนोเคा?
เคเคค्เคคเคฐ:
เคฆोเคจों เคธเคฎाเคจ เคตेเค เคธे เคเคเคฐाเคฏेंเคी।
เคช्เคฐเคถ्เคจ 8:
เคเค เคเคฃ เคช्เคฐाเคฐเคฎ्เคญ เคฎें 3 เคฎीเคเคฐ เคชूเคฐ्เคต เคเคตं เคซिเคฐ 4 เคฎीเคเคฐ เคเคค्เคคเคฐ เคी เคฆिเคถा เคฎें เคเคฒเคเคฐ เค
เคชเคจी เคฏाเคค्เคฐा เคชूเคฐ्เคฃ เคเคฐเคคा เคนै। เคเคฃเคจा เคीเคिเค
(i) เคเคฃ เคฆ्เคตाเคฐा เคเคฒी เคเคฏी เคฆूเคฐी,
(ii) เคเคฃ เคा เคตिเคธ्เคฅाเคชเคจ।
เคนเคฒ:
(i) เคिเคค्เคฐ 3.19 เคธे เคธ्เคชเคท्เค เคนै เคि เคเคฃ เคฆ्เคตाเคฐा เคเคฒी เคเคฏी।
เคธเคฎ्เคชूเคฐ्เคฃ เคฆूเคฐी = AB+ BC = 3+ 4 เคฎीเคเคฐ = 7 เคฎीเคเคฐ
เคช्เคฐเคถ्เคจ 9:
เค
เคเคก़เคค्เคตीเคฏ เคจिเคฐ्เคฆेเคถ เคคเคจ्เคค्เคฐ เค्เคฏा เคนै?
เคเคค्เคคเคฐ:
เคตे เคจिเคฐ्เคฆेเคถ เคคเคจ्เคค्เคฐ, เคिเคธเคฎें เคจ्เคฏूเคเคจ เคे เคเคคि เคตिเคทเคฏเค เคจिเคฏเคฎों เคा เคชाเคฒเคจ เคจเคนीं เคนोเคคा เคนै, เค
เคเคก़เคค्เคตीเคฏ เคจिเคฐ्เคฆेเคถ เคคเคจ्เคค्เคฐ เคเคนเคฒाเคคे เคนैं।
เคช्เคฐเคถ्เคจ 10:
เคเค เคाเคฐ เคिเคธी เคฆूเคฐी เคे เคเคงे เคญाเค เคो 40 เคिเคฎी/เคเคฃ्เคा เคคเคฅा เคถेเคท เคฌเคे เคนुเค เคญाเค เคो 60 เคिเคฎी/เคเคฃ्เคा เคी เคाเคฒ เคธे เคคเคฏ เคเคฐเคคी เคนै। เคाเคฐ เคी เคเคธเคค เคाเคฒ เคी เคเคฃเคจा เคीเคिเค।
เคนเคฒ:
เคฎाเคจा เคुเคฒ เคฆूเคฐी x เคนै เคคเคฅा เคเคงी-เคเคงी เคฆूเคฐिเคฏों เคे เคธเคฎเคฏ เค्เคฐเคฎเคถः t1 เคเคตं t2 เคนैं।
เคช्เคฐเคถ्เคจ 11:
เคเคฐ्เคง्เคตाเคงเคฐ เคฆिเคถा เคฎें เคฆाเคी เคเค เคเค เคोเคฒी เคชुเคจः เคเคธी เคฌिเคจ्เคฆु เคชเคฐ เค เคिเคฐเคคी เคนै। เคเคธเคे เคฆ्เคตाเคฐा เคคเคฏ เคी เคเค เคฆूเคฐी เคिเคคเคจी เคนोเคी?
เคเคค्เคคเคฐ:
เคोเคฒी เคชเคนเคฒे เคเคชเคฐ เคी เคเคฐ เคाเคเคฐ เคซिเคฐ เคตाเคชเคธ เคจीเคे เคी เคเคฐ เคเคธी เคฌिเคจ्เคฆु เคชเคฐ เคเคเคฐ เคिเคฐเคคी เคนै เคिเคธ เคฌिเคจ्เคฆु เคธे เคोเคฒी เคोเคก़ी เคเค เคฅी। เค
เคค: เคोเคฒी เคฆ्เคตाเคฐा เคเคฒी เคเค เคฆूเคฐी เคเคธเคे เคฆ्เคตाเคฐा เคคเคฏ เคी เคเค เคंเคाเค เคी เคฆोเคुเคจी เคนोเคी।
เคช्เคฐเคถ्เคจ 12:
เคคाเคค्เค्เคทเคฃिเค เคตेเค เค्เคฏा เคนै?
เคเคค्เคคเคฐ:
เคिเคธी เค्เคทเคฃ เคตिเคถेเคท เคชเคฐ เคเคคिเคถीเคฒ เคชिเคฃ्เคก เคा เคो เคेเค เคนोเคคा เคนै, เคเคธे เคคเคค्เค्เคทเคฃिเค เคตेเค เคเคนเคคे เคนैं। เคเคธे dt เคฆ्เคตाเคฐा เคช्เคฐเคฆเคฐ्เคถिเคค เคเคฐเคคे เคนैं।
เคช्เคฐเคถ्เคจ 13:
เคตिเคธ्เคฅाเคชเคจ-เคธเคฎเคฏ เค्เคฐाเคซ เคธเคฎเคฏ-เค
เค्เคท เคे เคธเคฎाเคจ्เคคเคฐ เคธเคฐเคฒ เคฐेเคा เคนै। เคตेเค เคคเคฅा เคค्เคตเคฐเคฃ เคे เคฎाเคจ เค्เคฏा เคนोंเคे?
เคเคค्เคคเคฐ:
เคฆोเคจों เคถूเคจ्เคฏ।
เคช्เคฐเคถ्เคจ 14:
เคตेเค-เคธเคฎเคฏ เค्เคฐाเคซ เคा เคขाเคฒ เค्เคฏा เคช्เคฐเคฆเคฐ्เคถिเคค เคเคฐเคคा เคนै?
เคเคค्เคคเคฐ:
เคเคฐเคฃ।
เคช्เคฐเคถ्เคจ 15:
เคฏเคฆि เคค्เคตเคฐเคฃ เคा S.I. เคฎाเคค्เคฐเค เคฎी เคธे 2 เคนै, เคคो เคฎเคจ्เคฆเคจ เคा S.I. เคฎाเคค्เคฐเค เค्เคฏा เคนोเคा?
เคเคค्เคคเคฐ:
เคฎी เคธे-2 ।
เคช्เคฐเคถ्เคจ 16:
เคเคฃाเคค्เคฎเค เคค्เคตเคฐเคฃ เคธे เค्เคฏा เคคाเคค्เคชเคฐ्เคฏ เคนै?
เคเคค्เคคเคฐ:
เคตेเค เคเคเคจे เคी เคธเคฎเคฏ เคฆเคฐ เคเคฃाเคค्เคฎเค เคค्เคตเคฐเคฃ เคเคนเคฒाเคคी เคนै।
เคช्เคฐเคถ्เคจ 17:
เคฌเคคाเคเค เคชृเคฅ्เคตी เคชเคฐ เคตเคฐ्เคทा เคी เคฌूंเคฆें เคเคเคธเคฎाเคจ เคตेเค เคธे เคिเคฐเคคी เคนैं เคฏा เคเคเคธเคฎाเคจ เคค्เคตเคฐเคฃ เคธे।
เคเคค्เคคเคฐ:
เคเคเคธเคฎाเคจ เคค्เคตเคฐเคฃ เคธे।
เคช्เคฐเคถ्เคจ 18:
เคตेเค-เคชเคฐिเคตเคฐ्เคคเคจ เคी เคธเคฎเคฏ เคฆเคฐ เคो เค्เคฏा เคเคนเคคे เคนैं?
เคเคค्เคคเคฐ:
เคค्เคตเคฐเคฃ।
เคช्เคฐเคถ्เคจ 19:
เคค्เคตเคฐเคฃ-เคธเคฎเคฏ เค्เคฐाเคซ เคคเคฅा เคธเคฎเคฏ-เค
เค्เคท เคे เคฌीเค เคा เค्เคทेเคค्เคฐเคซเคฒ เค्เคฏा เคช्เคฐเคฆเคฐ्เคถिเคค เคเคฐเคคा เคนै?
เคเคค्เคคเคฐ:
เคตेเค-เคชเคฐिเคตเคฐ्เคคเคจ।
เคช्เคฐเคถ्เคจ 20:
เคเค เคฌเค्เคा เคเคเคธเคฎाเคจ เคตेเค เคธे เคเคฒเคคी เคนुเค เค्เคฐेเคจ, เคो เคธीเคงी เคชเคเคฐिเคฏों เคชเคฐ เคเคคिเคฎाเคจ เคนै, เคฎें เคฌैเค ा เคนै, เคตเคน เคเค เคेंเคฆ เคนเคตा เคฎें เคเคाเคฒเคคा เคนै, เคฅोเคก़े เคธเคฎเคฏ เคฌाเคฆ เคेंเคฆ เคเคนाँ เคिเคฐेเคी?
เคเคค्เคคเคฐ:
เคเคธเคे เคนाเคฅ เคฎें।
เคช्เคฐเคถ्เคจ 21:
เคเค เคฎीเคจाเคฐ เคी เคोเคी เคธे เคเค เคेंเคฆ เค्เคทैเคคिเค เคฆिเคถा เคฎें เคिเคธी เคจिเคถ्เคिเคค เคตेเค เคธे เคซेंเคी เคाเคคी เคนै, เคเคธी เค्เคทเคฃ เคฆूเคธเคฐी เคेंเคฆ เคตเคนीं เคธे เคเคฐ्เคง्เคตाเคงเคฐ เคจीเคे เคी เคเคฐ เคฎुเค्เคค เคฐूเคช เคธे เคिเคฐเคจे เคे เคฒिเค เคोเคก़ी เคाเคคी เคนै,เคौเคจ-เคธी เคेंเคฆ เคชृเคฅ्เคตी เคชเคฐ เคชเคนเคฒे เคเคเคฐाเคเคी?
เคเคค्เคคเคฐ:
เคฆोเคจों เคेंเคฆें เคธाเคฅ-เคธाเคฅ เคเคเคฐाเคฏेंเคी, เค्เคฏोंเคि เคเคง्เคฐ्เคตाเคงเคฐ (UPBoardSolutions.com) เคฆिเคถा เคฎें เคฆोเคจों เคेंเคฆों เคे เคช्เคฐाเคฐเคฎ्เคญिเค เคตेเค เคถूเคจ्เคฏ เคนैं, เคคเคฅा เคฆोเคจों เคชเคฐ เคค्เคตเคฐเคฃ เคा เคฎाเคจ g เคนै।
เคช्เคฐเคถ्เคจ 22:
เคเคเคธเคฎाเคจ เคค्เคตเคฐिเคค เคเคคि เคเคฐเคจे เคตाเคฒे เคเค เคชिเคฃ्เคก เคฆ्เคตाเคฐा 7เคตें เคคเคฅा 9เคตें. เคธेเคเคฃ्เคก เคฎें เคคเคฏ เคी เคเค เคฆूเคฐिเคฏाँ เค्เคฐเคฎเคถः 20 เคฎी เคคเคฅा 24เคฎी เคนैं, เคคो เคตเคน เคชिเคฃ्เคก 15เคตें เคธेเคเคฃ्เคก เคฎें เคिเคคเคจी เคฆूเคฐी เคคเคฏ เคเคฐेเคा?
เคนเคฒ:
7เคตें เคธेเคเคฃ्เคก เคฎें เคเคฒी เคเคฏी เคฆूเคฐी = 20 เคฎी
เคช्เคฐเคถ्เคจ 23:
เค्เคฏा เคोเค เคตเคธ्เคคु เคिเคธเคा เคตेเค เคถूเคจ्เคฏ เคนो, เคค्เคตเคฐिเคค เคนो เคธเคเคคी เคนै?
เคเคค्เคคเคฐ:
เคนाँ, เคเคฌ เค เคตเคธ्เคคु เค
เคชเคจी เคเคคि เคी เคฆिเคถा เคो เคเคค्เค्เคฐเคฎिเคค (Reversal) เคเคฐเคคी เคนै, เคคो เค्เคทเคฃ เคญเคฐ เคे เคฒिเค เคเคธเคा เคตेเค เคถूเคจ्เคฏ เคนो เคाเคคा เคนै, เค
เคชिเคคु เคเคธ เคชเคฐ เค
เคฌ เคญी -a เคชเคฐिเคฎाเคฃ เคो เคค्เคตเคฐเคฃ เคाเคฐ्เคฏ เคเคฐเคคा เคนै।
เคช्เคฐเคถ्เคจ 24:
เคเค เคเคฒเคคी เคนुเค เคฎोเคเคฐเคाเคก़ी เคो เคฌ्เคฐेเค เคฒเคाเคเคฐ เคुเค เคฆूเคฐी เคชเคฐ เคฐोเค เคฒिเคฏा เคाเคคा เคนै เคเคธเคे เคฒिเค เคเคคि เคा เคธเคฎीเคเคฐเคฃ เคฒिเคिเค।
เคเคค्เคคเคฐ:
u2 = 2ax, เคเคนाँ a= เคค्เคตเคฐเคฃ (เคฎเคจ्เคฆเคจ), x = เคฆूเคฐी เคคเคฅा u = เคช्เคฐाเคฐเคฎ्เคญिเค เคตेเค।
เคช्เคฐเคถ्เคจ 25:
เคเคชेเค्เคทिเค เคตेเค เคธे เค्เคฏा เคคाเคค्เคชเคฐ्เคฏ เคนै?
เคเคค्เคคเคฐ:
เคเคฌ เคฆो เคตเคธ्เคคुเคँ เคिเคธी เคตेเค เคธे เคเคคिเคฎाเคจ เคนोเคคी เคนैं เคคो เคช्เคฐเคคि เคธेเคเคฃ्เคก เคเคจเคे เคฌीเค เคे เคตिเคธ्เคฅाเคชเคจ เคฎें เคนोเคจे เคตाเคฒे เคชเคฐिเคตเคฐ्เคคเคจ เคो เคเคชेเค्เคทिเค เคตेเค เคเคนเคคे เคนैं।
เคฒเคु เคเคค्เคคเคฐीเคฏ เคช्เคฐเคถ्เคจ
เคช्เคฐเคถ्เคจ 1:
เคฆूเคฐी เคคเคฅा เคตिเคธ्เคฅाเคชเคจ เคฎें เค
ंเคจ्เคคเคฐ เคฒिเคिเค।
เคเคค्เคคเคฐ:
เคฆूเคฐी เคคเคฅा เคตिเคธ्เคฅाเคชเคจ เคฎें เค
เคจ्เคคเคฐ
เคช्เคฐเคถ्เคจ 2:
เคाเคฒ เคคเคฅा เคตेเค เคฎें เค
เคจ्เคคเคฐ เคฒिเคिเค।
เคเคค्เคคเคฐ:
เคाเคฒ-เคिเคธी เคเคคिเคถीเคฒ เคตเคธ्เคคु เคी เคाเคฒ เคฏเคน เคฆเคฐ्เคถाเคคी เคนै เคि เคตเคน เคตเคธ्เคคु เคเคธ เค्เคทเคฃ เคिเคคเคจी เคคेเค เคเคฒ เคฐเคนी เคนै। เคिเคธी เคตเคธ्เคคु เคฆ्เคตाเคฐा เคเคांเค เคธเคฎเคฏ เคฎें เคเคฒी เคเค เคฆूเคฐी เคो เคตเคธ्เคคु เคी เคाเคฒ เคเคนเคคे เคนैं।
เคฏเคน เคเค เค
เคฆिเคถ เคฐाเคถि เคนै।
เคตेเค:
เคोเค เคตเคธ्เคคु เคเคांเค เคธเคฎเคฏाเคจ्เคคเคฐाเคฒ เคฎें เคिเคธी เคฆिเคถा เคฎें เคिเคคเคจी เคตिเคธ्เคฅाเคชिเคค เคนोเคคी เคนै, เคเคธे เคเคธ เคฆिเคถा เคฎें เคตเคธ्เคคु เคा เคตेเค เคเคนเคคे เคนैं। เคตेเค เคเค เคธเคฆिเคถ เคฐाเคถि เคนै।
เคช्เคฐเคถ्เคจ 3:
เคชเคฐिเคตเคฐ्เคคी เคाเคฒ เคคเคฅा เคเคธเคค เคाเคฒ เคธे เค्เคฏा เคคाเคค्เคชเคฐ्เคฏ เคนै?
เคเคค्เคคเคฐ:
เคชเคฐिเคตเคฐ्เคคी เคाเคฒ-เคฏเคฆि เคोเค เคตเคธ्เคคु เคธเคฎाเคจ เคธเคฎเคฏाเคจ्เคคเคฐाเคฒों เคฎें เคญिเคจ्เคจ-เคญिเคจ्เคจ เคฆूเคฐिเคฏाँ เคคเคฏ เคเคฐเคคी เคนै เคคो เคตเคธ्เคคु เคी เคाเคฒ เค
เคธเคฎाเคจ เคฏा เคชเคฐिเคตเคฐ्เคคी เคเคนเคฒाเคคी เคนै। เคเคธเคค เคाเคฒ-เค
เคงिเคเคคเคฐे เคเคคिเคถीเคฒ เคตเคธ्เคคुเคं เคी เคाเคฒ เคชเคฐिเคตเคฐ्เคคिเคค เคนोเคคी เคฐเคนเคคी เคนै เคคเคฅा เคฏเคน เคเค เคฌाเคฐ เค
เคชเคจी เคเคคि เคी เคฆिเคถा เคญी เคฌเคฆเคฒเคคी เคนै เคเคธी เค
เคตเคธ्เคฅा เคฎें เคเคธเคी เคเคธเคค เคाเคฒ เค्เคाเคค เคी เคाเคคी เคนै। เค
เคฐ्เคฅाเคค् เคिเคธी เคเคคिเคฎाเคจ เคตเคธ्เคคु เคฆ्เคตाเคฐा เคคเคฏ เคी เคเค เคुเคฒ เคฆूเคฐी เคคเคฅा เคฒिเค เคเคฏे เคुเคฒ เคธเคฎเคฏ เคे เค
เคจुเคชाเคค เคो เคเคธเคค เคाเคฒ เคเคนเคคे เคนैं।
เคช्เคฐเคถ्เคจ 4:
เค्เคฏा เคเค เคเคคिเคถीเคฒ เคตเคธ्เคคु เคे เคฒिเค เคฏเคน เคธเคฎ्เคญเคต เคนै เคि เคเคธเคी เคुเค เคเคธเคค เคाเคฒ เคนो เคฒेเคिเคจ เคเคธเคค เคตेเค เคถुเคจ्เคฏ เคนो?
เคเคค्เคคเคฐ:
เคนाँ, เคฏเคน เคธเคฎ्เคญเคต เคนै। เคเคฆाเคนเคฐเคฃ-เคฏเคฆि เคोเค เคต्เคฏเค्เคคि เคिเคธी เคตृเคค्เคคाเคाเคฐ เค्เคฐैเค เคชเคฐ เคिเคธी เคธ्เคฅाเคจ เคธे เคเคฒเคเคฐ เคुเค เคจिเคถ्เคिเคค เคธเคฎเคฏ เคชเคถ्เคाเคค् เคเคธी เค्เคฐैเค เคे เคเคธी เคธ्เคฅाเคจ เคชเคฐ เคตाเคชเคธ เคฒौเค เคเคคा เคนै, เคคो เคเคธเคे เคฆ्เคตाเคฐा เคเคฒी เคเคฏी เคฆूเคฐी = เค्เคฐैเค เคी เคชเคฐिเคงि เคคเคฅा เคเคธเคा เคตिเคธ्เคฅाเคชเคจ = เคถूเคจ्เคฏ।
เค
เคค: เคเคธเคी เคเคธเคค เคाเคฒ = เคฆूเคฐी/เคธเคฎเคฏ ।
เคคเคฅा เคเคธเคค เคตेเค = เคตिเคธ्เคฅाเคชเคจ/เคธเคฎเคฏं = 0 /เคธเคฎเคฏ = 0
เคช्เคฐเคถ्เคจ 5:
10 เค्เคฐाเคฎ เคคเคฅा 100 เค्เคฐाเคฎ เคตाเคฒी เคญिเคจ्เคจ เคฆ्เคฐเคต्เคฏเคฎाเคจ เคी เคฆो เคตเคธ्เคคुเคँ เคเคเคธเคฎाเคจ เคँเคाเค เคธे เคिเคฐाเค เคाเคคी เคนैं। เค्เคฏा เคตे เคเค เคธเคฎเคฏ เคชเคฐ เคชृเคฅ्เคตी เคชเคฐ เคชเคนुँเคेंเคी? เค
เคชเคจा เคเคค्เคคเคฐ เคต्เคฏाเค्เคฏा เคธเคนिเคค เคฒिเคिเค।
เคเคค्เคคเคฐ:
เคฆोเคจों เคตเคธ्เคคुเคं เคो เคช्เคฐाเคฐเคฎ्เคญिเค เคตेเค 40 = เคถूเคจ्เคฏ เคคเคฅा เคฆोเคจों เคे เคฆ्เคตाเคฐा เคชृเคฅ्เคตी เคคเค เคชเคนुँเคเคจे เคฎें เคคเคฏ เคी เคเคฏी เคฆूเคฐी เคे เคญी เคธเคฎाเคจ เคนै।
เคเคธ เคธूเคค्เคฐ เคฎें เคฆ्เคฐเคต्เคฏเคฎाเคจ เคจเคนीं เค เคฐเคนा เคนै। เค
เคค: g เคจिเคฏเคค เคนोเคจे เคे เคाเคฐเคฃ เคฆोเคจों เคे เคฒिเค เคนै เคธเคฎाเคจ เคนोเคा। เคฏเคฆि เคตाเคฏु เคा เคช्เคฐเคคिเคฐोเคง เคจเคเคฃ्เคฏ เคฎाเคจ เคฒिเคฏा เคाเคฏे เคो เคฆ्เคฐเคต्เคฏเคฎाเคจ เคชเคฐ เคจिเคฐ्เคญเคฐ เคเคฐเคคा เคนै, เค
เคคः เคฆोเคจों เคตเคธ्เคคुเคँ เคเค เคธเคฎเคฏ เคชเคฐ เคชृเคฅ्เคตी เคชเคฐ เคชเคนुँเคेเคी।
เคช्เคฐเคถ्เคจ 6:
เคเค เคเคฃ เคो 20 เคฎी/เคธे เคे เคช्เคฐाเคฐเคฎ्เคญिเค เคตेเค เคธे เคเคชเคฐ เคी เคเคฐ เคซेंเคा เคाเคคा เคนै। 3.0 เคธेเคเคฃ्เคก เคฌाเคฆ เคเคฃ เคฆ्เคตाเคฐा เคคเคฏ เคी เคเคฏी เคฆूเคฐी เคคเคฅा เคตिเคธ्เคฅाเคชเคจ เคी เคเคฃเคจा เคीเคिเค। (g= 10 เคฎी/เคธे2)।
เคนเคฒ:
เคฆिเคฏा เคนै, u = 20 เคฎी/เคธे, t= 3 เคธेเคเคฃ्เคก

เคช्เคฐเคถ्เคจ 7:
เคธिเคฆ्เคง เคीเคिเค เคि =u + at
เคเคค्เคคเคฐ:
เคฎाเคจा เคिเคธी เคตเคธ्เคคु เคा เคช्เคฐाเคฐเคฎ्เคญिเค เคตेเค v เคนै, เคो । เคธเคฎเคฏाเคจ्เคคเคฐाเคฒ เคे เคฌाเคฆ v เคนो เคाเคคा เคนै। เคค्เคตเคฐเคฃ เคी เคชเคฐिเคญाเคท เคธे,
เคช्เคฐเคถ्เคจ 8:
เค
เคธเคฎाเคจ เค
เคฅเคตा เคชเคฐเคตเคฐ्เคคी เคค्เคตเคฐเคฃ เคธे เค्เคฏा เคคाเคค्เคชเคฐ्เคฏ เคนै ? เคงเคจाเคค्เคฎเค เคคเคฅा เคเคฃाเคค्เคฎเค เคค्เคตเคฐเคฃ เค्เคฏा เคนै।
เคเคค्เคคเคฐ:
เค
เคธเคฎाเคจ เคฏा เคชเคฐिเคตเคฐ्เคคीเคค्เคตเคฐเคฃ-เคฏเคฆि เคธเคฎाเคจ เคธเคฎเคฏाเคจ्เคคเคฐाเคฒों เคฎें เคตเคธ्เคคु เคे เคตेเค เคฎें เคชเคฐिเคตเคฐ्เคคเคจ เค
เคธเคฎाเคจ เคนो, เคคो เคตเคธ्เคคु เคा เคค्เคตเคฐเคฃ เค
เคธเคฎाเคจ เค
ंเคฅเคตा เคชเคฐिเคตเคฐ्เคคी เคเคนा เคाเคคा เคนै। เคिเคค्เคฐ 3.20 เคฎें เคงเคจाเคค्เคฎเค, เคเคฃाเคค्เคฎเค เคคเคฅा เคถूเคจ्เคฏ เคค्เคตเคฐเคฃ เคตाเคฒी เคเคคि เคे เคฒिเค เคเคคि-เคธเคฎเคฏ เค्เคฐाเคซ เคฆเคฐ्เคถाเคฏा เคเคฏा เคนै। เคเคจ เค्เคฐाเคซों เคฎें เคเคชเคฐ เคी เคเคฐ เคाเคคी เคนुเค เคตเค्เคฐ เคงเคจाเคค्เคฎเค
เคฏเคฆि เคธเคฎเคฏ เคे เคธाเคฅ เคตเคธ्เคคु เคा เคตेเค เคฌเคข़เคคा เคนै เคคो เคเคธเคฎें เคเคค्เคชเคจ्เคจ เคค्เคตเคฐเคฃ เคงเคจाเคค्เคฎเค เคเคนเคฒाเคคा เคนै เคเคฐ เคฏเคฆि เคตเคธ्เคคु เคा เคตेเค เคเคเคคा เคนै เคคो เคเคค्เคชเคจ्เคจ เคค्เคตเคฐเคฃ เคเคฃाเคค्เคฎเค เคเคนเคฒाเคคा เคนै। เคเคฃाเคค्เคฎเค เคค्เคตเคฐเคฃ เคो เคฎเคจ्เคฆเคจ (retardation) เคญी เคเคนเคคे เคนैं।
เคตिเคธ्เคคृเคค เคเคค्เคคเคฐीเคฏ เคช्เคฐเคถ्เคจ
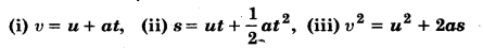
เคช्เคฐเคถ्เคจ 1:
เคธเคฐเคฒ เคฐेเคा เคฎें เคเคคिเคฎाเคจ เคिเคธी เคเคฃ เคे เคธ्เคฅिเคคि-เคธเคฎเคฏ เค्เคฐाเคซ เคธे เค्เคฏा เคคाเคค्เคชเคฐ्เคฏ เคนै? เคฏे เคिเคคเคจे เคช्เคฐเคाเคฐ เคे เคนोเคคे เคนैं? เคธ्เคฅिเคคि-เคธเคฎเคฏ เค्เคฐाเคซ เคी เคธเคนाเคฏเคคा เคธे เคเคคिเคฎाเคจ เคเคฃ เคे เคตेเค เคा เคจिเคฐ्เคงाเคฐเคฃ เคिเคธ เคช्เคฐเคाเคฐ เคिเคฏा เคाเคคा เคนै? เคธ्เคชเคท्เค เคीเคिเค।
เคเคค्เคคเคฐ:
เคธ्เคฅिเคคि-เคธเคฎเคฏ เค्เคฐाเคซ-เคธเคฎเคฏ เคे เคธाเคชेเค्เคท, เคธเคฐเคฒ เคฐेเคा เคฎें เคเคคिเคฎाเคจ เคिเคธी เคเคฃ เคी เคธ्เคฅिเคคि เคो เคช्เคฐเคฆเคฐ्เคถिเคค เคเคฐเคจे เคตाเคฒा เค्เคฐाเคซ เคตเคธ्เคคु เคा เคธ्เคฅिเคคि-เคธเคฎเคฏ เค्เคฐाเคซ เคเคนเคฒाเคคा เคนै। เคธ्เคฅिเคคि เคธเคฎเคฏ เค्เคฐाเคซ เค
เค्เคฐ เคฆो เคช्เคฐเคाเคฐ เคा เคนोเคคा เคนै
(i) เคเคเคธเคฎाเคจ เคเคคि เคा เคธ्เคฅिเคคि-เคธเคฎเคฏ เค्เคฐाเคซ เคคเคฅा
(ii) เค
เคธเคฎाเคจ เคเคคि เคा เคธ्เคฅिเคคि-เคธเคฎเคฏ เค्เคฐाเคซ। เคธเคฐเคฒ เคฐेเคा เคฎें เคเคคिเคฎीเคจ เคिเคธी เคंเคฃ เคी เคเคคि เคो เคเคธเคे เคธ्เคฅिเคคि-เคธเคฎเคฏ เค्เคฐाเคซ เคฆ्เคตाเคฐा เคต्เคฏเค्เคค เคिเคฏा เคा เคธเคเคคा เคนै। เคเคธเคे เคฒिเค เคธเคฎเคฏ (t) เคो X-เค
เค्เคท เคชเคฐ เคคเคฅा เคเคฃ เคी เคธ्เคฅिเคคि (x) เคो Y-เค
เค्เคท เคชเคฐ เคฒेเคคे เคนैं।
เคเคเคธเคฎाเคจ เคเคคि เคे เคฒिเค เคธ्เคฅिเคคि-เคธเคฎเคฏ เค्เคฐाเคซ-เคเคเคธเคฎाเคจ เคเคคि (เคเคเคธเคฎाเคจ เคตेเค เคธे เคเคคि) เคे เคฒिเค เคธ्เคฅिเคคि-เคธเคฎเคฏ เค्เคฐाเคซ, เคธเคฎเคฏ-เค
เค्เคท เคे เคธाเคฅ เคเค เคจिเคถ्เคिเคค เคोเคฃ เคชเคฐ เคुเคाเคต เคฒिเค เคธเคฐเคฒ เคฐेเคा เคช्เคฐाเคช्เคค เคนोเคคी เคนै। (เคिเคค्เคฐ 3.21)
เคธ्เคฅिเคคि-เคธเคฎเคฏ เค्เคฐाเคซ เคธे เคตेเค เคा เคจिเคฐ्เคงाเคฐเคฃ:
เคฎाเคจ เคฒीเคिเค เคเค, x,… เคธเคฐเคฒ เคฐेเคा เคฎें เคเคเคธเคฎाเคจ เคเคคि เคเคฐเคคे เคนुเค เคเคฃ เคा เคธ्เคฅिเคคि-เคธเคฎเคฏ เค्เคฐाเคซ เคिเคค्เคฐ 3.21 เคฎें เคช्เคฐเคฆเคฐ्เคถिเคค เคธเคฐเคฒ เคฐेเคा OAB เคนै। เคฎाเคจा เคि เค्เคทเคฃों t1 เคคเคฅा t2 เคे เคธंเคเคค เคเคฃ เคी เคธ्เคฅिเคคिเคฏाँ เค्เคฐเคฎเคถः [latex]\xrightarrow { { x }_{ 1 } }[/latex] เคต [latex]\xrightarrow { { x }_{ 2 } }[/latex] เคนैं, เคคเคฌ เฅฌ เคธเคฎเคฏाเคจ्เคคเคฐाเคฒ (t2 – t1) เคे เคฒिเค เคเคฃ เคा เคธ्เคฅिเคคि เคชเคฐिเคตเคฐ्เคคเคจ

∴ เคตเคธ्เคคु เคा เคตेเค = เคธ्เคฅिเคคि-เคธเคฎเคฏ เคตเค्เคฐ เคा เคขाเคฒ
เค
เคค: เคธเคฐเคฒ เคฐेเคा เคฎें เคเคเคธเคฎाเคจ เคเคคिं เคเคฐเคคे เคเคฃ เคा เคตेเค, เคเคฃ เคे เคธ्เคฅिเคคि-เคธเคฎเคฏ เค्เคฐाเคซ เคे เคขाเคฒ เคे เคฌเคฐाเคฌเคฐ เคนोเคคा เคนै।
เค
เคธเคฎाเคจ เคเคคि เคे เคฒिเค เคธ्เคฅिเคคि-เคธเคฎเคฏ เค्เคฐाเคซ-เค
เคธเคฎाเคจ เคเคคि । (เคชเคฐिเคตเคฐ्เคคी เคตेเค เคธे เคเคคि) เคे เคฒिเค เคธ्เคฅिเคคि-เคธเคฎเคฏ เค्เคฐाเคซ เคเค เคตเค्เคฐ (curve) เคे เคฐूเคช เคฎें เคช्เคฐाเคช्เคค เคนोเคคा เคนै (เคिเคค्เคฐ 3.22)।
เคธ्เคฅिเคคि-เคธเคฎเคฏ เค्เคฐाเคซ เคธे เคเคธเคค เคตेเค เคा เคจिเคฐ्เคงाเคฐเคฃ-เคฎाเคจ เคฒीเคिเค เคि เคธเคฐเคฒ เคฐेเคा เคฎें เค
เคธเคฎाเคจ เคเคคि เคธे เคเคคिเคฎाเคจ เคेเคฃ เคा เค เคธ्เคฅिเคคि-เคธเคฎเคฏ เค्เคฐाเคซ เคिเคค्เคฐ 3.22 เคฎें เคช्เคฐเคฆเคฐ्เคถिเคค เคตเค्เคฐ OAB เคนै। เคฎाเคจा เคि เค्เคทเคฃों t1 เคตे t2 เคे เคธंเคเคค เคเคฃ เคी เคธ्เคฅिเคคिเคฏाँ เค्เคฐเคฎเคถः
เค
เคคः เคिเคธी เคจिเคถ्เคिเคค เคธเคฎเคฏाเคจ्เคคเคฐाเคฒ เคฎें เคตเคธ्เคคु เคा เคเคธเคค เคตेเค เคเคธเคे เคธ्เคฅिเคคि-เคธเคฎเคฏ เค्เคฐाเคซ เคฎें เคเคธ เคจिเคถ्เคिเคค เคธเคฎเคฏाเคจ्เคคเคฐाเคฒ เคे เคธंเคเคค เคตเคธ्เคคु เคी เคธ्เคฅिเคคिเคฏों เคो เคฎिเคฒाเคจे เคตाเคฒी เคीเคตा เคी เคช्เคฐเคตเคฃเคคा เคे เคฌเคฐाเคฌเคฐ เคนोเคคा เคนै। เคเคธ เคช्เคฐเคाเคฐ, เค
เคธเคฎाเคจ เคเคคि เคे เคฒिเค เคช्เคฐाเคช्เคค เคธ्เคฅिเคคि-เคธเคฎเคฏ เค्เคฐाเคซ เคे เคिเคจ्เคนीं เคฆो เคฌिเคจ्เคฆुเคं เคो เคฎिเคฒाเคจे เคตाเคฒी เคीเคตा เคी เคช्เคฐเคตเคฃเคคा, เคเคธ เคธเคฎเคฏाเคจ्เคคเคฐाเคฒ เคे เคฒिเค เคเคธเคค เคตेเค เคो เคช्เคฐเคฆเคฐ्เคถिเคค เคเคฐเคคी เคนै।
เคธ्เคฅिเคคि-เคธเคฎเคฏ,เค्เคฐाเคซ เคธे เคคाเคค्เค्เคทเคฃिเค เคตेเค เคा เคจिเคฐ्เคงाเคฐเคฃ:
เคฏเคฆि เคธเคฎเคฏाเคจ्เคคเคฐाเคฒ (t2– t1) เคธूเค्เคท्เคฎ เคนो เคคเคฌ เค्เคฐाเคซ เคชเคฐ เคฌिเคจ्เคฆु B, เคฌिเคจ्เคฆु A เคे เคจिเคเค เค เคाเคคा เคนै। เคธเคฎเคฏाเคจ्เคคเคฐाเคฒ ∆t เคे เค
เคค्เคฏเคจ्เคค เคธूเค्เคท्เคฎ (∆t ⇒ 0) เคนोเคจे เคชเคฐ เคฌिเคจ्เคฆु A เคต B เคฒเคเคญเค เคธเคฎ्เคชाเคคी เคนोเคเคฐ เค्เคฐाเคซ เคो เคฌिเคจ्เคฆु A เคชเคฐ เคธ्เคชเคฐ्เคถ เคเคฐเคคे เคนैं เคคเคฅा เคीเคตा AB, เคฌिเคจ्เคฆु A เคชเคฐ เคธ्เคชเคฐ्เคถ เคฐेเคा เคฎें เคชเคฐिเคตเคฐ्เคคिเคค เคนो เคाเคคी เคนै।
เค
เคค: เคธเคฎเคฏ t1 เคชเคฐ เคตเคธ्เคคु เคा เคคाเคค्เค्เคทเคฃिเค เคตेเค = เคฌिเคจ्เคฆु A เคชเคฐ เคธ्เคชเคฐ्เคถ เคฐेเคी เคी เคช्เคฐเคตเคฃเคคा = tan ฮฑ
เคช्เคฐเคถ्เคจ 2:
เคตेเค-เคธเคฎเคฏ เค्เคฐाเคซ เคธे เคเคคिเคถीเคฒ เคตเคธ्เคคु เคा เคตिเคธ्เคฅाเคชเคจ เคคเคฅा เคฆूเคฐी เคเคฆाเคนเคฐเคฃ เคธเคนिเคค เค्เคाเคค เคीเคिเค।
เคเคค्เคคเคฐ:
เคตेเค-เคธเคฎเคฏ เคเคซเคธे เคเคคिเคถीเคฒ เคตเคธ्เคคु เคा เคตिเคธ्เคฅाเคชเคจ เคคเคฅा เคฆूเคฐी เค्เคाเคค เคเคฐเคจा–เคोเค เคตเคธ्เคคु เคเคฌ เคเคคि เคฎें เคเคคी เคนै เคคो เคเคธเคा เคตेเค เคฌเคข़เคคा เคนै – เคคเคฅा เคเคฌ เคตเคธ्เคคु เคो เคฐोเคเคจा เคถुเคฐू เคเคฐเคคे เคนैं เคคो เคตेเค เคเคเคคा เคนै। เคธ्เคชเคท्เค เคนै เคि เคตเคธ्เคคु เคा เคตेเค เคงเคจाเคค्เคฎเค, เคเคฃाเคค्เคฎเค เคต เคถूเคจ्เคฏ เคนो เคธเคเคคी เคนै। เคตेเค เคงเคจाเคค्เคฎเค เคนोเคจे เคชเคฐ เคตेเค-เคธเคฎเคฏ เค्เคฐाเคซ (OP) เค
เค्เคท เคे เคเคชเคฐ เคी เคเคฐ เคคเคฅा เคตेเค เคเคฃाเคค्เคฎเค เคนोเคจे เคชเคฐ เค्เคฐाเคซ (QR) เค
เค्เคท เคธे เคจीเคे เคी เคเคฐ เคนोเคा (เคिเคค्เคฐ 3.23)।
เคตेเค-เคธเคฎเคฏ เค्เคฐाเคซ (v-t) เคคเคฅा เคธเคฎเคฏ เค
เค्เคท เคे เคฌीเค เคिเคฐा เค्เคทेเคค्เคฐเคซเคฒ เคคเคฏ เคिเคค्เคฐ 3.23 เคी เคเค เคฆूเคฐी เคो เคฌเคคाเคคा เคนै। เคฏเคฆि เค्เคทेเคค्เคฐเคซเคฒ เคธเคฎเคฏ เค
เค्เคท เคे เคเคชเคฐ เคนै, เคคो เคฏเคน เคฎूเคฒ เคฌिเคจ्เคฆु เคธे เคฆूเคฐी เคो เคฆเคฐ्เคถाเคคा เคนै, เคชเคฐเคจ्เคคु เคฏเคฆि เค्เคทेเคค्เคฐเคซเคฒ เคธเคฎเคฏ-เค
เค्เคท เคे เคจीเคे เคนै, เคคो เคฏเคน เคฎूเคฒ เคฌिเคจ्เคฆु เคी เคเคฐ เคฆूเคฐी เคो เคฆเคฐ्เคถाเคคा เคนै। เค
เคคः เคुเคฒ เคฆूเคฐी เค्เคाเคค เคเคฐเคจे เคे เคฒिเค เคธเคญी เค्เคทेเคค्เคฐเคซเคฒों เคो เคोเคก़ เคฆेเคคे เคนैं, เคเคฌเคि เคตिเคธ्เคฅाเคชเคจ เค्เคाเคค เคเคฐเคจे เคे เคฒिเค เคธเคฎเคฏ-เค
เค्เคท เคे เคเคชเคฐ เคे เค्เคทेเคค्เคฐเคซเคฒ เคงเคจाเคค्เคฎเค เคต เคธเคฎเคฏ-เค
เค्เคท เคे เคจीเคे เคे เค्เคทेเคค्เคฐเคซเคฒ เคเคฃाเคค्เคฎเค เคฒेเคคे เคนैं।
เคเคฆाเคนเคฐเคฃ–เคเค เคाเคฐ เคीं, เคเคคि เคा เคตेเค-เคธเคฎเคฏ เค्เคฐाเคซ เคिเคค्เคฐ 3.24 เคฎें เคช्เคฐเคฆเคฐ्เคถिเคค เคนै। เค्เคाเคค เคीเคिเค
(i) 5 เคธेเคเคฃ्เคก เคฎें เคตिเคธ्เคฅाเคชเคจ เคคเคฅा
(ii) 5 เคธेเคเคฃ्เคก เคฎें เคเคฒिเคค เคฆूเคฐी।
เคนเคฒ:
(i) 5 เคธेเคเคฃ्เคก เคฎें เคตिเคธ्เคฅाเคชเคจ = เค्เคทेเคค्เคฐเคซเคฒ OABC- เค्เคทेเคค्เคฐเคซเคฒ CDEF
= 3×10- 10×2= 30- 20 = 10 เคฎीเคเคฐ,
(ii) 5 เคธेเคเคฃ्เคก เคฎें เคเคฒिเคค เคฆूเคฐी = เค्เคทेเคค्เคฐเคซเคฒ OABC+ เค्เคทेเคค्เคฐเคซเคฒ CDEF
= 30+ 20 = 50 เคฎीเคเคฐ
เคช्เคฐเคถ्เคจ 3:
เคिเคธी เคเคคिเคฎाเคจ เคตเคธ्เคคु เคे เคตेเค-เคธเคฎเคฏ เค्เคฐाเคซ เคธे เค्เคฏा เคคाเคค्เคชเคฐ्เคฏ เคนै। เคตेเค-เคธเคฎเคฏ เค्เคฐाเคซ เคธे เคตเคธ्เคคु เคा เคตिเคธ्เคฅाเคชเคจ เคคเคฅा เคตเคธ्เคคु เคा เคค्เคตเคฐเคฃ เคिเคธ เคช्เคฐเคाเคฐ เค्เคाเคค เคिเคฏा เคाเคคा เคนै? เคธ्เคชเคท्เค เคीเคिเค।
เคเคค्เคคเคฐ:
เคตेเค-เคธเคฎเคฏ เค्เคฐाเคซ: เคिเคธी เคเคคिเคฎाเคจ เคตเคธ्เคคु เคे เคตेเค เคคเคฅा เคธเคฎเคฏ เคे เคฌीเค เคींเคे เคเค เค्เคฐाเคซ เคो เคตเคธ्เคคु เคा เคตेเค-เคธเคฎเคฏ เค्เคฐाเคซ เคเคนเคคे เคนैं। เค
เคคः เคธ्เคชเคท्เค เคนै เคि เคिเคธी เคตเคธ्เคคु เคा เคตेเค-เคธเคฎเคฏ เค्เคฐाเคซ, เคธเคฎเคฏ เคे เคธाเคฅ เคตเคธ्เคคु เคे เคตेเค เคฎें เคนोเคจे เคตाเคฒे เคชเคฐिเคตเคฐ्เคคเคจ เคो เคช्เคฐเคฆเคฐ्เคถिเคค เคเคฐเคคा เคนै।
เคเคเคธเคฎाเคจ เคเคคि เคे เคฒिเค เคตेเค-เคธเคฎเคฏ เค्เคฐाเคซ:
เคเคเคธเคฎाเคจ เคเคคि (เคเคเคธเคฎाเคจ เคตेเค เคธे เคเคคि) เคे เคฒिเค เคตेเค-เคธเคฎเคฏ เค्เคฐाเคซ, เคธเคฎเคฏ เค
เค्เคท เคे เคธเคฎाเคจ्เคคเคฐ เคเค เคธเคฐเคฒ เคฐेเคा เคช्เคฐाเคช्เคค เคนोเคคी เคนै (เคिเคค्เคฐ 3.25)
เคตेเค-เคธเคฎเคฏ เค्เคฐाเคซ เคธे เคตिเคธ्เคฅाเคชเคจ เคा เคจिเคฐ्เคงाเคฐเคฃ-เคिเคธी เคจिเคถ्เคिเคค เคธเคฎเคฏाเคจ्เคคเคฐाเคฒ เคฎें (UPBoardSolutions.com) เคตเคธ्เคคु เคा เคตिเคธ्เคฅाเคชเคจ, เคเคธเคे เคตेเค-เคธเคฎเคฏ เคตเค्เคฐ เคคเคฅा เคธเคฎเคฏ เค
เค्เคท เคे เคฌीเค เคिเคฐे เค्เคทेเคค्เคฐเคซเคฒ เคे เคฌเคฐाเคฌเคฐ เคนोเคคा เคนै।
เคเคเคธเคฎाเคจ เคตेเค เคธे เคเคคि เคे เคฒिเค เคตेเค-เคธเคฎเคฏ เค्เคฐाเคซ, เคธเคฐเคฒ เคฐेเคा AB เคช्เคฐाเคช्เคค เคนोเคคी เคนै। เคธเคฎเคฏ t1 เคต t2 เคชเคฐ เคตเคธ्เคคु
เคเคเคธเคฎाเคจ เคค्เคตเคฐिเคค เคเคคि เคे เคฒिเค เคตेเค-เคธเคฎเคฏ เค्เคฐाเคซ:
เคเคเคธเคฎाเคจ เคค्เคตเคฐिเคค เคเคคि เคे เคฒिเค เคตेเค-เคธเคฎเคฏ เค्เคฐाเคซ เคธเคฎเคฏ-เค
เค्เคท เคे เคธाเคฅ เคเค เคจिเคถ्เคिเคค เค्เคฐोเคฃ เคชเคฐ เคुเคाเคต เคฒिเค เคธเคฐเคฒ เคฐेเคा เคे เคฐूเคช เคฎें เคนोเคคा เคนै (เคिเคค्เคฐ;3.26)। เคตेเค-เคธเคฎเคฏ เค्เคฐाเคซ เคธे เคค्เคตเคฐเคฃ เค्เคाเคค เคเคฐเคจा – เคฎाเคจ เคฒीเคिเค เคि เคเคเคธเคฎाเคจ เคค्เคตเคฐเคฃ เคธे เคเคคिเคฎाเคจ เคिเคธी เคตเคธ्เคคु เคा เคตेเค-เคธเคฎเคฏ เค्เคฐाเคซ เคเค เคช्เคฐเคฆเคฐ्เคถिเคค เคिเคฏा เคเคฏा เคนै।
เค
เคธเคฎाเคจ เคค्เคตเคฐिเคค เคเคคि เคे เคฒिเค เคตेเค-เคธเคฎเคฏ เค्เคฐाเคซ เคเค เคตเค्เคฐ เคे เคฐूเคช เคฎें เคนोเคคा เคนै เคैเคธा เคि เคिเคค्เคฐ 3.27 เคฎें เคช्เคฐเคฆเคฐ्เคถिเคค เคिเคฏा เคเคฏा เคนै।
เคช्เคฐเคถ्เคจ 4:
เค्เคฐाเคซीเคฏ เคตिเคงि เคฆ्เคตाเคฐा เคเคเคธเคฎाเคจ เคค्เคตเคฐिเคค เคเคคि เคธे เคเคคिเคฎाเคจ เคตเคธ्เคคु เคी เคเคคि เคी เคธเคฎीเคเคฐเคฃे เคต्เคฏुเคค्เคชเคจ्เคจ เคीเคिเค।
เคฏा
เคเคเคธเคฎाเคจ เคค्เคตเคฐเคฃ เคธे เคเคคिเคฎाเคจ เคตเคธ्เคคु เคे เคฒिเค, เค्เคฐाเคซीเคฏ เคตिเคงि เคธे เคจिเคฎ्เคจเคฒिเคिเคค เคธเคฎ्เคฌเคจ्เคง เคธ्เคฅाเคชिเคค เคीเคिเค![]()
เคเคค्เคคเคฐ:
เค्เคฐाเคซ เคฆ्เคตाเคฐा เคเคคि เคे เคธเคฎीเคเคฐเคฃ เคธ्เคฅाเคชिเคค เคเคฐเคจा
เคฎाเคจा เคोเค เคตเคธ्เคคु เคช्เคฐाเคฐเคฎ्เคญिเค เคตेเค u เคคเคฅा เค
เคเคฐ เคค्เคตเคฐเคฃ a เคธे เคเคฒเคจा เคช्เคฐाเคฐเคฎ्เคญ เคเคฐเคคी เคนै เคเคฐ t เคธเคฎเคฏ เคชเคถ्เคाเคค् เคตเคธ्เคคु เคा เคตेเค v เคนो เคाเคคा เคนै। เคฏเคฆि เคธเคฎเคฏ เคो X-เค
เค्เคท เคชเคฐ เคคเคฅा เคตेเค เคो Y-เค
เค्เคท เคชเคฐ เคจिเคฐूเคชिเคค เคिเคฏा เคाเค, เคคो เคตเคธ्เคคु เคा เคธเคฎเคฏ-เคตेเค เค्เคฐाเคซ เคชเคฐ เคुเคी เคนुเค เคธเคฐเคฒ เคฐेเคा BA เคे เคฐूเคช เคฎें เคช्เคฐाเคช्เคค เคนोเคฒी เคนै (เคिเคค्เคฐ 3.28)।
เคเคธเคी เคธเคนाเคฏเคคा เคธे เคเคคि เคे เคธเคฎीเคเคฐเคฃों เคो เคจिเคฎ्เคจ เคช्เคฐเคाเคฐ เคธे เค्เคाเคค เคเคฐเคคे เคนैं
(i) เคเคคि เคा เคช्เคฐเคฅเคฎ เคธเคฎीเคเคฐเคฃ-เคฎाเคจा t= 0 เคธเคฎเคฏ เคชเคฐ
เคตเคธ्เคคु เคा เคช्เคฐाเคฐเคฎ्เคญिเค เคตेเค u = OB= EC
เคธเคฎเคฏ (t) เคฎाเคจा เคธเคฎเคฏ เคชเคถ्เคाเคค् เคตเคธ्เคคु เคा เค
เคจ्เคคिเคฎ เคตेเค
(ฮฝ) = EA
เคตेเค-เคชเคฐिเคตเคฐ्เคคเคจ เคฎें เคช्เคฐเคฏुเค्เคค เคธเคฎเคฏ (t) = OE = BC
เคนเคฎ เคाเคจเคคे เคนैं เคि, เคตเคธ्เคคु เคा เคค्เคตเคฐเคฃ เคธเคฎเคฏ-เคตेเค เค्เคฐाเคซ เคी เคฐेเคा เคे เคขाเคฒ เคธे เค्เคाเคค เคนोเคคा เคนै।
เค
เคคः เคตเคธ्เคคु เคा เคค्เคตเคฐเคฃ (a) = เคฐेเคा BA เคो เคขाเคฒ
(ii) เคเคคि เคा เคฆ्เคตिเคคीเคฏ เคธเคฎीเคเคฐเคฃ:
เคฎाเคจा t = 0 เคธे t เคธเคฎเคฏ เคคเค เคตเคธ्เคคु 8 เคฆूเคฐी เคคเคฏ เคเคฐเคคी เคนै। เคฏเคน เคฆूเคฐी t=0 เคธे เคนै เคธเคฎเคฏ เคคเค เคตเคธ्เคคु เคे เคธเคฎเคฏ-เคตेเค เค्เคฐाเคซ เคคเคฅा เคธเคฎเคฏे-เค
เค्เคท เคे เคฌीเค เคिเคฐे เคญाเค เคा เค्เคทेเคค्เคฐเคซเคฒ
เคे เคฌเคฐाเคฌเคฐ เคนोเคคी เคนै। เค
เคคः เคตเคธ्เคคु เคฆ्เคตाเคฐा เคเคฒी เคเค เคฆूเคฐी
(iii) เคเคคि เคा เคคृเคคीเคฏ เคธเคฎीเคเคฐเคฃ